وَيُمْسِكُ السَّمَاءَ أَنْ تَقَعَ عَلَى الْأَرْضِ إِلَّا بِإِذْنِهِ

And He Holds the sky Preventing its Fall on Ground Unless by His Permission

 

أ.د. حسين يوسف العمري

Hussain Yousef Omari

قسم الفيزياء / جامعة مؤتة / الأردن

rashed@mutah.edu.jo

 

د. تسنيم حسين عمري

Tassniem Hussain Omari

قسم الهندسة الكهربائية/ الجامعة الهاشمية / الأردن

tassniem@hu.edu.jo

 

Abstract: This paper explores the cosmic interpretation of the Qur'anic verse " He holds the sky to fall on ground except with his permission", linking it to modern astronomical discoveries. The discussion focuses on some of the Qur'anic meanings of the word "sky" and interprets the verse in light of certain phenomena, such as the gravitational effect of Jupiter on Earth. The asteroid belt, located between Mars and Jupiter, was discussed as a sky that could correspond to the Qur'anic reference to prevent the sky from falling to Earth. In addition, Jupiter's role in protecting Earth from repeated collisions with asteroids is demonstrated, illustrating how the change in mass of Jupiter affects the trajectory of NEOs. The paper also explores into the Qur'anic reference to the stability of the heavens, linking it to the effect of dark energy, which currently prevents the universe from collapsing under its self-gravity. These discussions aim to demonstrate the harmony between Qur'anic verses and both cosmology and astrophysics, and to provide a scientific perspective or interpretation of cosmic verses in the Qur'an.

الملخص: تستكشف هذه الورقة التفسير الفيزيائي أو الكوني للآية القرآنية " وَيُمْسِكُ السَّمَاءَ أَنْ تَقَعَ عَلَى الْأَرْضِ إِلَّا بِإِذْنِهِ" ، وتربطها بالاكتشافات الحديثة. ويركّز النقاش على بعض من المعاني القرآنية لكلمة "السماء"، ويفسّر الآية في ضوء بعض الظواهر، كتأثير جاذبية كوكب المشتري على الأرض.  تمت مناقشة حزام الكويكبات، الواقع بين المريخ والمشتري ، كسماء يمكن أن تتوافق مع الإشارة القرآنية لمنع السماء من التساقط على الأرض .  بالإضافة إلى ذلك، يتم بيان دور المشتري في حماية الأرض من تصادمات متكررة مع كويكبات، مما يوضح كيف أن تغيّر كتلة المشتري تؤثر في مسار الأجسام القريبة من الأرض.  كما تتعمق الورقة في الإشارة القرآنية إلى استقرار السماوات، وربطه بتأثير الطاقة المظلمة، والتي حاليا تمنع الكون من الانهيار تحت جاذبيته.  تهدف هذه المناقشات إلى تجلية التناغم بين الآيات القرآنية ومستجدات علم الكون، وتقديم منظور جديد لعلم الكونيات القرآني، أو لتفسير آيات القرآن الكونية.

التفسير الفيزيائي للآية:

تسلّمتُ من رئاسة الشؤون الدينية في أنقرة رسالة بتاريخ (19/ 5/ 2024) تكلّفني بإعداد محاضرة بعنوان: التفسير العلمي لعدم إسقاط السماء (الغلاف الجوي) على الأرض.

Atmosferin Yeryüzüne Düşmemesinin (İskatu’s-Semâ, İmsâk) Bilimsel Yorumu

Prof. Dr. Hüseyin Yusuf ÖMERİ

Ayetler:

(وَيُمْسِكُ السَّمَاءَ أَنْ تَقَعَ عَلَى الْأَرْضِ إِلَّا بِإِذْنِهِ إِنَّ اللَّهَ بِالنَّاسِ لَرَءُوفٌ رَحِيمٌ ) (Hac 22/65).

لقد كتبت من قبل في معاني كلمتي السماء والأرض في آيات القرآن الكريم ([1]).  وكتبت في موضوع الأرضين السبع الواردة في الأحاديث الصحيحة، وربطتها بالمادة الكونية المظلمة ([2]). . .   وعليه فقد قدّمت هذه المادّة محاضرة كما طلب مني في "ندوة الجيولوجيا" يوم الخميس بتاريخ (26/9/2024) تحت عنوان الآية الكريمة: (وَيُمْسِكُ السَّمَاءَ أَنْ تَقَعَ عَلَى الْأَرْضِ إِلَّا بِإِذْنِهِ إِنَّ اللَّهَ بِالنَّاسِ لَرَءُوفٌ رَحِيمٌ) (سورة الحج آية 65) .

فيما يلي محاولة لتقديم بعضاً من التفسير الفيزيائي والكوني لهذه الآية،  وذلك في نطاق بعض المعاني اللغوية لكلمة السماء .

حزام الكويكبات (The asteroid belt) ([3])

- (أَفَلَمْ يَرَوْا إِلَى مَا بَيْنَ أَيْدِيهِمْ وَمَا خَلْفَهُمْ مِنْ السَّمَاءِ وَالْأَرْضِ إِنْ نَشَأْ نَخْسِفْ بِهِمُ الْأَرْضَ أَوْ نُسْقِطْ عَلَيْهِمْ كِسَفًا مِنْ السَّمَاءِ إِنَّ فِي ذَلِكَ لَآيَةً لِكُلِّ عَبْدٍ مُنِيبٍ) (سبأ 9 ).  السماء هنا بمعنى العلو أو الفَلك أو الأجرام السماويّةهنالك حزامان : حزام الكويكبات (The asteroid belt) (الشكل 1)، و حزام كايْبِر (Kuiper belt) .

The asteroid belt (حزام الكويكبات) is a torus-shaped region in the Solar System, located roughly between the orbits of the planets Jupiter (المشتري) and Mars (المريخ), that is occupied by a great many solid, irregularly shaped bodies, of many sizes but much smaller than planets, called asteroids (كويكبات) or minor planets. This asteroid belt is also called the main asteroid belt or main belt to distinguish it from other asteroid populations in the Solar System such as near-Earth asteroids (Fig. 2) and trojan asteroids (كويكبات طرواده). ([4])

حزام الكويكبات (The asteroid belt) هو منطقة على شكل طارة (أو حلوى الدونت) في النظام الشمسي (شكل 1، شكل 2)، تقع تقريبًا بين مداري كوكبي المشتري (Jupiter) والمريخ (Mars)، والتي يتواجد فيها عدد كبير جدًا من الأجسام الصلبة غير المنتظمة، بأحجام عديدة ولكنها أصغر بكثير من الكواكب؛ تسمى الكويكبات أو الكواكب الصغيرة.

In astronomy, a trojan is a small celestial body (mostly asteroids) that shares the orbit of a larger one, remaining in a stable orbit approximately 60° ahead or behind the main body near one of its Lagrangian points L4 and L5 (correspond to hilltops). Trojans can share the orbits of planets or of large moons.

حتى أكتوبر من عام 2017، كان لدى مركز الكواكب الصغيرة بيانات عن ما يقرب من 745 ألف جرماً في النظام الشمسي الداخلي والخارجي، منها ما يقرب من 504 آلاف تتوفر فيها البيانات الكافية ليتم تسميتها.[6].  أنظر (شكل 2).

undefined

https://en.wikipedia.org/wiki/File:Inner_solar_system_objects_top_view_for_wiki.png

 

Description: https://upload.wikimedia.org/wikipedia/commons/thumb/1/16/NEO_by_size.png/400px-NEO_by_size.png

 

الشكل 1 : حزام الكويكبات (The asteroid belt) هو منطقة على شكل طارة (أو حلوى الدونت) في النظام الشمسي، تقع تقريبًا بين مداري كوكبي المشتري (Jupiter) والمريخ (Mars)، والتي يتواجد فيها عدد كبير جدًا من الأجسام الصلبة غير المنتظمة، بأحجام عديدة ولكنها أصغر بكثير من الكواكب؛ تسمى الكويكبات أو الكواكب الصغيرة ([5]).

ولعل هذا ما ترشد إليه الآية الكريمة: (أَفَلَمْ يَرَوْا إِلَى مَا بَيْنَ أَيْدِيهِمْ وَمَا خَلْفَهُمْ مِنْ السَّمَاءِ وَالْأَرْضِ إِنْ نَشَأْ نَخْسِفْ بِهِمُ الْأَرْضَ أَوْ نُسْقِطْ عَلَيْهِمْ كِسَفًا مِنْ السَّمَاءِ إِنَّ فِي ذَلِكَ لَآيَةً لِكُلِّ عَبْدٍ مُنِيبٍ) (سبأ 9 ) .

الشكل 2: الأجسام القريبة من الأرض والمعروفة حتى يناير 2018

Fig. 2: Known Near-Earth objects as of January 2018 ([6])

إنّ مدارات الأجرام في حزام الكويكبات تعلو مدار الأرض حول الشمس.  وبالتالي فإن حزام الكويكبات هو سقف (سماء) بالنسبة للكرة الأرضية ومدارِها حولَ الشمس، ولعله هو المراد من كلمة السماء في الآيات الكريمات :

- (أَوْ نُسْقِطْ عَلَيْهِمْ كِسَفًا مِنْ السَّمَاءِ) (سبأ 9 ) .

- (فَأَسْقِطْ عَلَيْنَا كِسَفًا مِنْ السَّمَاءِ إِنْ كُنْتَ مِنْ الصَّادِقِينَ) (الشعراء 187 ). 

- (أَوْ تُسْقِطَ السَّمَاءَ كَمَا زَعَمْتَ عَلَيْنَا كِسَفًا أَوْ تَأْتِيَ بِاللَّهِ وَالْمَلَائِكَةِ قَبِيلًا) (الإسراء 92 ). 

وحزام الكويكبات أو الأجسام القريبة من الأرض تُشير إليهما أيضاً الآيتان الكريمتان:

- (تَرْمِيهِمْ بِحِجَارَةٍ مِنْ سِجِّيلٍ) (الفيل 4).

إهلاك قوم لوط لإصرارهم على الفاحشة التي تخالف الأخلاق والدين والفطرة: (فَلَمَّا جَاءَ أَمْرُنَا جَعَلْنَا عَالِيَهَا سَافِلَهَا وَأَمْطَرْنَا عَلَيْهَا حِجَارَةً مِّن سِجِّيلٍ مَّنضُودٍ (82) مُّسَوَّمَةً عِندَ رَبِّكَ ۖ وَمَا هِيَ مِنَ الظَّالِمِينَ بِبَعِيدٍ (83)) (سورة هود).  " وَأَمْطَرْنَا عَلَيْهَا حِجَارَةً مِّن سِجِّيلٍ مَّنضُودٍ" هذه الحجارة قريبة (Near-Earth objects) : (وَمَا هِيَ مِنَ الظَّالِمِينَ بِبَعِيد).

سِجِّيل ([7]):

- طين يابس متحجِّر، حجارة صلبة حادّة ذات نتوء

سِجّـيـل: طين مُـتحجّر مُحْرَق (آجُرٍّ) ( سورة :الفيل، آية رقم :4) ([8]).

سجّيل: طين مُتحجّر طُبِخ بالنّار (سورة :الحجر، آية رقم :74) ؛ كانت درجة الحرارة مرتفعة في قرص التراكم الذي تفتق عن المجموعة الشمسية بشمسها وكواكبها وكويكباتها.

سجّيل: طين طُبخ بالنّار كالفخّار (سورة :هود، آية رقم :82) ([9]).

سجله بالشيء: رماه به من فوق (المعجم: الرائد)، وإنّ مدار الكويكبات يعلو مداري الأرض والمريخ (فوقهما) .

المشتري (Jupiter) وتأثيره على الأرض

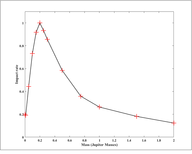
يبلغ نصف قطر المشتري حوالي  11ضعف نصف قطر الأرض ، وتبلغ كتلة المشتري318  ضعف كتلة الأرض ([10]) .

معدل تصادمات الأرض مع أجرام والتي يتسبب بها المشتري (شكل 3، شكل 4): يلاحظ من الشكلين أنه قبل اكتمال خلق كوكبي الأرض والمشتري (كتلة كلّ منهما أقل مما هي عليه (الآن) كان معدّل تصادم المذنبات من عائلة المشتري مع الأرض كبيراً ، وهذا يزيد من معدّل نماء الأرض في مادة تكوينها وفي مائها.  وهذا ضروري وله أهمّيته للحياة: (وَهُوَ الَّذِي مَدَّ الأرْضَ وَجَعَلَ فِيهَا رَوَاسِيَ وَأَنْهَارًا وَمِنْ كُلِّ الثَّمَرَاتِ جَعَلَ فِيهَا زَوْجَيْنِ اثْنَيْنِ يُغْشِي اللَّيْلَ النَّهَارَ إِنَّ فِي ذَلِكَ لآيَاتٍ لِقَوْمٍ يَتَفَكَّرُونَ) (الرعد آية 3).  أَيْ جَعَلَهَا مُتَّسِعَة مُمْتَدَّة فِي الطُّول وَالْعَرْض (ابن كثير، جـ 2، ص 576).  (مَدَّ الأرْضَ): تشير إلى تخلّق الأرض ومدّها بمادّة تكوينها (accretion) إلى أن كبُرت وتوسّعت مساحة سطحها تدريجيّاً.  كما وقد تشير إلى إمداد الأرض بالطّاقة: كالطّاقة الشّمسيّة مثلاً، وبالتالي إمدادها بالمطر، وإمدادها بالعناصر من خلال النيازك والشهب. ([11])

 

A plot showing 12 data points with an early rising double peak

Impact rate of near-Earth asteroids on Earth, as a function of Jupiter’s mass. Credit: Horner et al. (2020).

شكل 3: معدّل تصادم الكويكبات القريبة من كرتنا الأرضية مع الأرض كدالّة بدلالة كتلة المشتري؛ حيث أنّ كتلته قد زادت مع المدّ والنماء (accretion)، وكذلك الأرض زادت كتلتها: (وَهُوَ الَّذِي مَدَّ الأرْضَ). (هورنر وآخرون)

 

A plot showing an early rising peak

Impact rate of Jupiter-family comets on Earth, as a function of Jupiter’s mass. Credit: Horner et al. (2020).

شكل 4: معدل تصادم المذنبات من عائلة المشتري مع الأرض، بدلالة كتلة المشتري ، حيث أنّ كتلته قد زادت مع المدّ والنماء (accretion): هورنر وآخرون (2020).

 

يبدو أن حوادث الاصطدام قد لعبت دورًا مهمًا في تطوير النظام الشمسي منذ تكوينه، إذ أثرت الاصطدامات الرئيسية التي حصلت عبر تاريخ مجموعتنا الشمسية على تشكّل الأرض وبشكل كبير: (وَهُوَ الَّذِي مَدَّ الأرْضَ) ، بل وساهمت في تكوين نظام الأرض والقمر (فرضية الاصطدام العملاق)، وساهمت في التاريخ التطوّري للحياة، وأصل الماء على الأرض .... ([12])

“Impact events appear to have played a significant role in the evolution of the Solar System since its formation. Major impact events have significantly shaped Earth's history, and have been implicated in the formation of the Earth–Moon system. Impact events also appear to have played a significant role in the evolutionary history of life. ([13])

 

“Is Jupiter Earth’s friend or our foe? Our simulations revealed that, rather than there being a simple answer to this question, the story is far more complicated. For the short-period comets and near-Earth asteroids, Jupiter actually acts to increase the impact risk to the Earth over that we’d experience were Jupiter absent - but the situation would be far worse were Jupiter significantly less massive than the behemoth we know and love. If Jupiter were comparable to, or somewhat less massive than, Saturn, then the Earth would be pummeled by impacts from asteroids and comets far more frequently than is the case in the real Solar system.

But there’s yet another added complication here. We imagine that an Earth with no impacts would be best for life - and that might suggest that the Earth would have been even more idyllic were our giant neighbor not present. But if impacts were less frequent, would that really be a good thing? If the reign of the dinosaurs had not been brought to an unfortunate end by a rock from space, would we be here, right now, to learn more about Jupiter’s influence?

Looking further back, to the formation of the Earth, impacts on our planet caused by objects flung our way by Jupiter might just have played a key role in ensuring that the Earth became the wonderful habitable world we know today. Without the icy objects flung our way by Jupiter from the outer asteroid belt and outer Solar system, the Earth could well have been bone dry - a desiccated husk of a world: (And We have sent down water from the sky in a measured amount and settled it in the earth. And indeed, We are Able to take it away. (Al-Muminoon 18).

Without Jupiter, then, the Solar system would be a very different place. Yes, the Earth would be hit less often - likely far less often - but that might not be a good thing. Our planet could well be an arid place, more like a harsh desert planet than an aquatic planet.” ([14])

هل كوكب المشتري صديق أم عدوّ لنا؟ كشفت عمليات المحاكاة التي أجراها بعضُ الباحثين أنه بدلا من وجود إجابة بسيطة على هذا السؤال، فإن المسألة أكثر تعقيدا بكثير.  بالنسبة للمذنبات قصيرة الدورة المدارية والكويكبات القريبة من الأرض، يعمل كوكب المشتري في الواقع على زيادة خطر تصادم (الأجرام) على الأرض مقارنة مع ما سنشهده فيما لو كان المشتري غائبا - لكن الوضع سيكون أسوأ بكثير إذا كان كوكب المشتري أقل كتلة بكثير من العملاق الذي نعرفه ونحبه.  إذا كان كوكب المشتري مشابها لزحل أو أقل كتلة منه إلى حد ما، فإن الأرض ستتعرض لصدمات من الكويكبات والمذنبات بشكل متكرر أكثر بكثير مما هو الحال الحقيقي (الحالي) في النظام الشمسي (شكل 3، شكل 4) .  ولكن هناك تعقيد إضافي آخر هنا.  قد نتخيّل أن الأرض بدون تصادم مع أجرام خارجية ستكون أفضل للحياة - وهذا قد يجعلنا نتصوّر أن الأرض كانت ستكون أكثر شاعرية لو لم يكن جارنا العملاق موجوداً.  ولكن إذا كانت التصادمات أقل حدوثاً أو تكراراً، فهل سيكون ذلك أمرا جيدا حقا؟ إذا لم يكن عهد الديناصورات قد انتهى بشكل مؤسف بسبب صخرة من الفضاء (صدمت الأرض)، فهل سيكون لنا تواجد الآن لمعرفة ودراسة المزيد عن تأثير المشتري؟  إذا نظرنا إلى الوراء، إلى تكوين الأرض ، فإن التأثيرات على كوكبنا والناجمة عن الأجسام التي قذفها المشتري في طريقنا قد لعبت دورا رئيسيا في ضمان أن تصبح الأرض العالم الرائع الصالح للسكن الذي نعرفه اليوم.  بدون الأجسام الجليدية التي قذفها المشتري في طريقنا من حزام الكويكبات الخارجي والنظام الشمسي الخارجي ، كان من الممكن أن تكون الأرض جافّة - قشرة قاريّة جافة: (وَأَنزَلْنَا مِنَ السَّمَاءِ مَاءً بِقَدَرٍ فَأَسْكَنَّاهُ فِي الْأَرْضِ ۖ وَإِنَّا عَلَىٰ ذَهَابٍ بِهِ لَقَادِرُونَ ) (المؤمنون 8).

بدون كوكب المشتري، سيكون النظام الشمسي مكانا مختلفا تماما.  نعم ، ستتعرض الأرض لضربات أقل - على الأرجح أقل بكثير - لكن هذا قد لا يكون شيئا جيدا.  فهو يتسبّب في أن يكون كوكبنا مكانا قاحلاً، أشبه بكوكب صحراوي قاسي أكثر من كونه كوكبا مائيا.

 

في عام 2013 ، تم اكتشاف تصادم بين كواكب صغيرة حول النجم NGC 2547 ID 8  بواسطة سبيتزر (Spitzer) وتم تأكيده من خلال الملاحظات الأرضية.  تشير النمذجة الحاسوبية إلى أن التأثيرات أو التصادمات شملت كويكبات كبيرة أو كواكب أولية مشابهة للأحداث التي يعتقد أنها أدّت إلى تكوين كواكب أرضية مثل كرتنا الأرضية . [6]

“In 2013, an impact between minor planets was detected around the star NGC 2547 ID 8 by Spitzer and confirmed by ground observations. Computer modelling suggests that the impact involved large asteroids or protoplanets similar to the events believed to have led to the formation of terrestrial planets like the Earth.” [6]

 

“In April 2018, the B612 Foundation reported “It’s 100 per cent certain we’ll be hit [by a devastating asteroid], but we’re not 100 per cent certain when.”[7] Also in 2018, physicist Stephen Hawking, in his final book Brief Answers to the Big Questions, considered an asteroid collision to be the biggest threat to the planet.[8][9] In June 2018, the US National Science and Technology Council warned that America is unprepared for an asteroid impact event, and has developed and released the National Near-Earth Object Preparedness Strategy Action Plan to better prepare”.[10][11][12][13][14] 

ذكرت مؤسسة B612 في تقرير نشرته في أبريل عام 2018 «أن كوكب الأرض سيُضرب بشكل مؤكد 100 % بواسطة كويكب مدمر، لكننا لسنا متأكدين 100 % متى سيحدث ذلك»،[6][7] بل واعتبر الفيزيائي ستيفن هوكينج في كتابه الأخير «إجابات مختصرة لأسئلة كبيرة» الذي نُشر عام 2018 «أن تصادم كويكب ما بكوكب الأرض هو أكبر تهديد لها».[8][9][10]

حذر المجلس الوطني الأمريكي للعلوم والتكنولوجيا في يونيو عام 2018، من أن أمريكا غير مهيأة لحدث تصادم كويكب بالأرض، وعليه فقد طوّرت وأصدرت «خطة عمل إستراتيجية وطنية للتهيؤ لاصطدام الأجرام القريبة من الأرض» من أجل الاستعداد بشكل أفضل في حال حدوث اصطدام.[11][12][13][14][15]

 

Small objects frequently collide with Earth. There is an inverse relationship between the size of the object and the frequency of such events. The lunar cratering record shows that the frequency of impacts decreases as approximately the cube of the resulting crater's diameter, which is on average proportional to the diameter of the impactor.[16] Asteroids with a 1 km diameter strike Earth every 500,000 years on average.[17][18] Large collisions – with 5 km objects – happen approximately once every twenty million years.[19] The last known impact of an object of 10 km (6 mi) or more in diameter was at the Cretaceous–Paleogene extinction event (حدث انقراض العصر الطباشيري) 66 million years ago.[20]

حزام كايْبِر (Kuiper belt) ([15])

حزام كايْبِر: هو منطقة من النظام الشمسي تتكون من الأجسام المتجمدة والصخور، تمتد من عند كوكب نبتون (30 وحدة فلكية ) (AU) إلى ما يقارب 55 و.ف (AU) بعيداً عن الشمس.[1] وهو مشابه لحزام الكويكبات الواقع بين كوكبي المريخ والمشتري مع أنه أعرض منه بعشرين مرة وأضخم منه بما بين 20 و 200 مرة.[2][3] وكما حزام الكويكبات، يتكون حزام كايْبِر بشكل أساسي من أجسام صغيرة أو بقايا من مراحل تكون النظام الشمسي الأوّلية، لكن الأجسام في حزام الكويكبات تتكون بشكل رئيسي من الصخور والمعدن بينما تلك في حزام كايْبِر تتكون من «مواد متطايرة متجمدة» ...

القمر أو الأقمار الصناعية وعدم سقوطها على الأرض

يوضح الشكل (5) الرسم الكونتوري للجهد الجاذبي الفعّال للأرض حول الشمس، وللقمر حول الأرض، مع ملاحظة أنّ قياس الرسم غير موحّد (A contour plot of the effective potential; not drawn to scale)) :  نرى أن نقاط لاجرانج  (Lagrangian points) L4  ، وL5  تتوافق مع قمم التلال، و نقاط لاجرانجL1  ،L2 ، و L3   تتوافق مع السروج (saddles) ؛ أي النقاط التي ينحني فيها المكان (space) لأعلى في اتجاه واحد ولأسفل في الاتجاه الآخر (الشكل 6). يشير هذا إلى أن الأقمار الصناعية الموضوعة في نقاط لاجرانج هذه ستميل إلى تجوال قليل قرباً وبعداً من الأرض (حاول وضع كرة صغيرة فوق بطيخة أو فوق سرج حقيقي وستحصل على الفكرة).  ولكن عندما يبدأ قمر صناعي موضوع في نقاط لاجرانجL4  أوL5  في الهبوط من القمم العليا للجهد، فإنه يكتسب سرعة.  في هذه المرحلة ، تلعب قوةُ كوريوليس (Coriolis force) ([16]) دورا وتُرسلُ القمرَ الصناعي إلى مدار مستقر حول نقطة لاجرانج .  وقوةُ كوريوليس هي التي تتسبب في دوران الأعاصير على الأرض . ([17])

Effective Potential

Lagrange point. (originally written (with mathematical equations) by Neil J. Cornish as part of WMAP's education and outreach program.)

شكل 5 : الرسم الكونتوري للجهد الجاذبي الفعّال للأرض حول الشمس، وللقمر حول الأرض، قياس الرّسم غير موحّد .  نقاط لاجرانج  L4 ، وL5  تتوافق مع قمم التلال (تشير الأسهم الزرقاء إلى اتجاه الانحدار).  نقاط لاجرانجL1 ، L2  وL3  تتوافق مع السروج (saddles) ؛ أي النقاط التي ينحني فيها المكان (space) لأعلى في اتجاه واحد ولأسفل في الاتجاه المعاكس (الشكل 6)

 

 

شكل 6 : الشكل الهندسي لسرج (saddle) .  والخطوط الكونتورية للجهد الجاذبي الفعّال عند نقاط لاجرانج L1  ، L2 ، و L3   تشبه السّرج . ([18])

 

القمرُ غاسقٌ إذا وقبَ ([19])

الآية: (وَمِنْ شَرِّ غَاسِقٍ إِذَا وَقَبَ)  ( الفلق: 3).

الأحاديث: (أخذَ النَّبيُّ صلَّى اللهُ عليهِ وسلَّمَ بيدي فنظرَ إلى القمرِ فقالَ: يا عائشةُ استعيذي باللَّهِ من شرِّ غاسقٍ إذا وقبَ هذا غاسقٌ إذا وقبَ) ([20]) .

(تَعوَّذي باللهِ من شَرِّ هذا الغاسِقِ إذا وَقَبَ.) ([21]) .

 (استعيذي باللهِ من هذا يعني القمرَ فإنَّه الغاسقُ إذا وقب) ([22]) .

المعاني اللغوية: ذُكر أنّ الْغَاسِق : كُلّ هَاجِم يَضُرّ، كَائِنًا مَا كَانَ؛ وفي الحديث الشريف: (فإنَّ هذا هوَ الغاسِقُ إذا وقَبَ).  والمعاني للكلمة وقب: دَخَلَ ، نَزَلَ ، أقبل وجاء .  في ضوء هذه المعاني يمكننا القول أنه لو تناقص بعد القمر عن الأرض (إذا وقب: دَخَلَ ، نَزَلَ، أقبل وجاء)، تزداد طاقته الحركية مقابل نقص طاقة الوضع ؛ فينقضّ القمرُ باتجاه الأرض.

المعنى اللغوي وَقَبَ: سَكَنَ قد يشير إلى اضمحلال طاقة القمر الحركية؛ فيهوي القمرُ ويسقط باتجاه الأرض ؛ كما حال طائرة يتعطّل مُحرّكُها.

يبين الشكل رقم 5 أنّ القمر يقع داخل فوّهة الجهد الجاذبي لكرة الأرض ؛ وبالتالي فهو غاسقٌ إذا وقب.

إن سيناريو تحطّم القمر وسقوطه على الأرض (فيما لو حدث) هو كارثة سيكون لها آثار بعيدة المدى وطويلة الأمد على كوكبنا.  سيكون التدمير الفوري هائلا ، مع إحداث حفرة ضخمة وتبخر كامل للمنطقة المحيطة.  سيتأثر الكوكب بأكمله بالزلازل والانفجارات البركانية وأنماط الطقس القاسية.  سيكون للتصادم أيضا تأثير كبير على الغلاف الجوي للأرض والمد والجزر ، مما يؤدي إلى تأثير ما يعرف بـ "الشتاء النووي"  ([23]) وتغيرات جذرية في الحياة البحرية. سيؤدي التغيير الحاصل في الميل المحوري للأرض إلى تغييرات جذرية في توزيع ضوء الشمس، مما سيؤثر على أنماط الطقس ودرجة الحرارة.  سيكون للتصادم أيضا تأثير كبير على الحضارة الإنسانية، حيث يقتل غالبية سكان العالم على الفور ويضطر الناجون الباقون إلى التكيف مع بيئة جديدة تماما.  القمر هو رفيق دائم للأرض وهو قمرها الطبيعي الوحيد .

The scenario of the moon crashing into the Earth is a catastrophic event that would have far-reaching and long-lasting effects on our planet. The immediate destruction would be immense, with a massive crater and complete vaporization of the surrounding area. The entire planet would be affected, with earthquakes, volcanic eruptions, and severe weather patterns. The collision would also have a major impact on the Earth’s atmosphere and tides, leading to a “nuclear winter” effect ([24]) and drastic changes in marine life. The change in axial tilt would lead to drastic changes in the distribution of sunlight, which would affect weather patterns and temperature. The collision would also have a significant impact on human civilization, with most of the world’s population killed instantly and the remaining survivors forced to adapt to a completely new environment. The moon is a constant companion and the only natural satellite of the Earth. ([25])

الله تعالى يحفظ القمر من السقوط على الأرض، فهو باقٍ إلى أن تخطفه الشمس يوم القيامة: (وَجُمِعَ الشَّمْسُ وَالْقَمَرُ) ([26]). وستعيش الأرض، التي سُرق رفيقها القمر، يحفها الظلام في الوقت الذي تتحول فيه الشمس في النهاية إلى قزم أبيض: (إِذَا الشَّمْسُ كُوِّرَتْ) (التكوير 1).  ويقول تعالى: (وَأَشْرَقَتِ الْأَرْضُ بِنُورِ رَبِّهَا وَوُضِعَ الْكِتَابُ وَجِيءَ بِالنَّبِيِّينَ وَالشُّهَدَاءِ وَقُضِيَ بَيْنَهُم بِالْحَقِّ وَهُمْ لَا يُظْلَمُونَ) (الزمر 69)

السماء بمعنى الغلاف الجوي

وأمّا السماء بمعنى الغلاف الجوي ، فإنّه لا يسقط على الأرض مطلقاً، لكنّه من حيث المبدأ عرضة للهروب إلى الفضاء الخارجي.  ويمنعه من ذلك قوة جذب الأرض.  وبالتالي فإن الغلاف الجوي ليس هو المراد في الآية الكريمة: (وَيُمْسِكُ السَّمَاءَ أَنْ تَقَعَ عَلَى الْأَرْضِ إِلَّا بِإِذْنِهِ إِنَّ اللَّهَ بِالنَّاسِ لَرَءُوفٌ رَحِيمٌ ) (سورة الحج آية 65)

الجاذبية تمنع الغلاف الجوي من الإفلات

 Fortunately for us, Earth’s gravity is strong enough to hold onto its atmosphere. For example, Mars's diameter is 6780 km (about half of Earth's), but its mass is only 11% of Earth's mass.  Less mass means less gravitational pull. Mars’ atmosphere is only about 1/100th as dense as Earth’s. And it is mostly CO2.  The average density of Mars is 3.9 g/cm3. ([27])

The escape velocity from planet Earth is a little over 11 kilometers per second (11.186 km/s) – about 25 thousand miles an hour (). If Earth were much less massive – say, as massive as Mars – gravity’s grip would be weaker. That’s one reason why Mars lost most of its original atmosphere. ([28])

“Although, Earth does continually lose some of its atmosphere to space. This loss occurs in the upper atmosphere, over billion-year time scales.  Hydrogen and Helium, being light atoms, typically move faster than heavier atoms, like oxygen and nitrogen.  Light atoms are more likely to reach escape velocity and escape to space.” ([29])

 لحسن الحظ بالنسبة لنا ، فإن جاذبية الأرض قوية بما يكفي للاحتفاظ بغلافها الجويعلى سبيل المثال، يبلغ قطر المريخ 6780 كم (حوالي نصف قطر الأرض) ولكن كتلته لا تزيد عن  11%من كتلة الأرض.  كتلةٌ أقلّ تعني قوة سحب وجذب أقلّ. وعليه تبلغ كثافة الغلاف الجوي للمريخ فقط  0.01من كثافة الغلاف الجوي للأرض.  وغلاف المريخ في الغالب ثاني أكسيد الكربون.  وتبلغ متوسط قيمة كثافة المريخ 3.9 غرام لكل سنتيمتر مكعب. ([30])

تبلغ سرعة الهروب من كوكب الأرض ما يزيد قليلا عن 11 كيلومترا في الثانية (11.186 km/s) - أي حوالي 25 ألف ميل في الساعة () .  ولو كانت كتلة الأرض أقل كثيرا ممّا هي عليه؛ ولنقل بنفس كتلة المريخ، لكانت قبضة الجاذبية أضعف.  وهذا هو أحد الأسباب التي جعلت المريخ يفقد معظم غلافه الجوي الأصلي. ([31])

ومع ذلك ، فإنّ الأرض تفقد وباستمرار بعض غلافها الجوي في الفضاء.  تحدث هذه الخسارة في الغلاف الجوي العلوي ، على مدى مليارات السنين.  وهذا من بعض ما تشير إليه الآيتان الكريمتان: (أَوَلَمْ يَرَوْا أَنَّا نَأْتِي الأرْضَ نَنْقُصُهَا مِنْ أَطْرَافِهَا) (الرعد 41)، (أَفَلا يَرَوْنَ أَنَّا نَأْتِي الأرْضَ نَنْقُصُهَا مِنْ أَطْرَافِهَا) (الأنبياء 44). ([32])

ذرّات الهيدروجين والهيليوم ، لكونها ذرات خفيفة، فإنها تتحرك عادة أسرع من الذرات الأثقل، مثل الأكسجين والنيتروجين.  لذا من المرجّح أن تصل الذرات الخفيفة إلى سرعة الهروب وتهرب إلى الفضاء. ([33])

فقدان الهيدروجين والهيليوم من غلافنا الجوي يتسبب بخسارة تبلغ حوالي 95000 طن سنويًا. ([34])

لذا فإنّ الجاذبية الأرضية تمنع الغلاف الجوي من مزيد الإفلات.  وبالتالي فإنّ الله تعالى يحفظ الغلاف الجوي الأرضي من فرط الهروب والإفلات إلى الفضاء الخارجي، وبالتالي فإن الآية (وَيُمْسِكُ السَّمَاءَ أَنْ تَقَعَ عَلَى الْأَرْضِ إِلَّا بِإِذْنِهِ) قد لا يراد بكلمة السماء هنا الغلاف الجوي .  وإنّما يراد بكلمة السماء (بالإظافة لما سبق ذكره) البناء السماوي الواسع المتوسع بقوة الله: (وَالسَّمَاءَ بَنَيْنَاهَا بِأَيْيدٍ وَإِنَّا لَمُوسِعُونَ) .

ومن جهة أخرى، في كوكب أعلى جاذبية ، يكون للغلاف الجوي سُمْكٌ (مدى رأسي) أصغر وإجمالي بخار ماء أقل.  نظرا لأن بخار الماء هو غاز دفيئة قوي، فإن هذا التأثير يؤدي إلى تبريد شامل للغلاف الجوي. ([35])

جوّ كوكب المشتري (Jupiter) كثيف وبارد لدرجة أنه يتصرف كمائع وليس غازا.  عند بعض المواقع، يصل ضغط الغلاف الجوي للمشتري من5  إلى10  أضعاف الضغط الجوي للأرض.

  “On the other hand, in a higher-gravity planet, the atmosphere has a smaller vertical extent and less total water vapor. Since water vapor is a potent greenhouse gas, this effect leads to an overall cooling of the atmosphere.” ([36])

The atmosphere of Jupiter is so dense and cold that it behaves as a fluid rather than a gas. At some point, the atmosphere pressure is 5 to 10 times that of the Earth's atmospheric pressure.

وعليه، لو كانت الآية هنا تتحدث عن السماء بمعنى الغلاف الجوي، فإن الآية تقول لنا أن الله جعل الجاذبية الأرضية بالقدر المناسب: (إِنَّا كُلَّ شَيْءٍ خَلَقْنَاهُ بِقَدَرٍ) (القمر 49(وَخَلَقَ كُلَّ شَيْءٍ فَقَدَّرَهُ تَقْدِيرًا ) ( الفرقان 1 - 2).  فلو زادت الجاذبية الأرضية لتناقص سُمْكُ الغلاف الجوي الأرضي ولتبرّد، وبالتالي وكأنه سقط على الأرض .  الجاذبية الأرضية وبقدرها المناسب تمنع الغلاف الجوي من الإفلات ، وتمنعه من الإنكماش والسقوط على الكرة الأرضية.

هنالك أعداد مهولة من النجوم ، وبعضها لها كواكب.  وبعض هذه الكواكب لها غلاف جوي ملائم للحياة كما الحال في كرتنا الأرضية، وبعضها ليس كذلك كما الحال في المريخ (Mars) الذي يفقد معظم غلافه الجوي الأصلي.  لذا فإن الآية الكريمة: (وَيُمْسِكُ السَّمَاءَ أَنْ تَقَعَ عَلَى الْأَرْضِ إِلَّا بِإِذْنِهِ ) تشير أيضاً إلى البناء السماوي المرفوع بقوة الله ، وقد لا تشير إلى الغلاف الجوي لكرة الأرض أو ما هو على شاكلتها.

السّماء بمعنى الغيث (المطر)

- (أَلَمْ يَرَوْا كَمْ أَهْلَكْنَا مِنْ قَبْلِهِمْ مِنْ قَرْنٍ مَكَّنَّاهُمْ فِي الْأَرْضِ مَا لَمْ نُمَكِّنْ لَكُمْ وَأَرْسَلْنَا السَّمَاءَ عَلَيْهِمْ مِدْرَارًا وَجَعَلْنَا الْأَنْهَارَ تَجْرِي مِنْ تَحْتِهِمْ فَأَهْلَكْنَاهُمْ بِذُنُوبِهِمْ وَأَنشَأْنَا مِنْ بَعْدِهِمْ قَرْنًا آخَرِينَ) (الأنعام 6 ).  يريد المطر الكثير ، عبّر عن المطر بالسّماء لأنّه من السّماء ينزل ، ومنه قول الشّاعر :  .....  إِذا سقط السّماء بأرض قوم

- (وَيَاقَوْمِ اسْتَغْفِرُوا رَبَّكُمْ ثُمَّ تُوبُوا إِلَيْهِ يُرْسِلْ السَّمَاءَ عَلَيْكُمْ مِدْرَارًا وَيَزِدْكُمْ قُوَّةً إِلَى قُوَّتِكُمْ وَلَا تَتَوَلَّوْا مُجْرِمِينَ) (هود 52 ). أي يرسل المطر متتابعا يتلو بعضه بعضا .

- (يُرْسِلْ السَّمَاءَ عَلَيْكُمْ مِدْرَارًا) (نوح 11 ). أي يرسل المطر عليكم غزيرا متتابعا.

إنّ إنزال المطر أو الغيث لهو من نعم الله ، وهو من مقومات الحياة على الأرض.  وبالتالي فإن إمساكه وعدم سقوطه على الأرض هو عذاب ولا يكون إمساكه من أشكال الرحمة ولا بحال.  لذا فإن السماء بمعنى المطر أو الغيث هو رزق ورحمة ولا يكون إمساكه رأفة ولا رحمة .  لذا لا يصح أن يكون الغيثُ مراداً بكلمة السماء في الآية الكريمة: (وَيُمْسِكُ السَّمَاءَ أَنْ تَقَعَ عَلَى الْأَرْضِ إِلَّا بِإِذْنِهِ إِنَّ اللَّهَ بِالنَّاسِ لَرَءُوفٌ رَحِيمٌ ) .

إغراق من كفر من قوم نوح

يقول تعالى: (كَذَّبَتْ قَبْلَهُمْ قَوْمُ نُوحٍ فَكَذَّبُوا عَبْدَنَا وَقَالُوا مَجْنُونٌ وَازْدُجِرَ (9) فَدَعَا رَبَّهُ أَنِّي مَغْلُوبٌ فَانتَصِرْ (10) فَفَتَحْنَا أَبْوَابَ السَّمَاءِ بِمَاءٍ مُّنْهَمِرٍ (11) وَفَجَّرْنَا الْأَرْضَ عُيُونًا فَالْتَقَى الْمَاءُ عَلَىٰ أَمْرٍ قَدْ قُدِرَ (12) وَحَمَلْنَاهُ عَلَىٰ ذَاتِ أَلْوَاحٍ وَدُسُرٍ (13) تَجْرِي بِأَعْيُنِنَا جَزَاءً لِّمَن كَانَ كُفِرَ  )(14) (سورة القمر)

يقول ابن كثير في تفسيره: " ... عن ابن عباس: (فَفَتَحْنَا أَبْوَابَ السَّمَاءِ بِمَاءٍ مُّنْهَمِرٍ) كثير ، لم تمطر السماء قبل ذلك اليوم ولا بعده إلا من السحاب ؛ فتحت أبواب السماء بالماء من غير سحاب ذلك اليوم، فالتقى الماءان على أمر قد قدر ."  ويستشهد ابن كثير بالأثر: (سأل ابنُ الكوا عليًّا عن الْمَجَرَّةِ قال هو شَرجُ السماءِ ومنها فُتِحَتِ السماءُ بماءٍ مُنْهَمِرٍ) ([37])

قوّة الله تحدّ من تأثير قوة الجاذبية (cosmic gravitational force)، وبالتالي تمنع الكون من الإنهيار على نفسه

الراجح أنّ المقصود بالآية هو أن قوة الله والتي يُطلق عليها علماءُ الكون اسمَ الطاقة المظلمة (Dark energy) ([38]) هي التي تمنع السماء (بمعنى: البناء السماوي، أو الأجزاء العلوية من الكون) من السقوط على الأرض (بمعنى: المادة المظلمة الحاضن الجاذبي للنجوم والمجرات، أو الأجزاء السفلية من الكون).  أي أنّ قوة الله تمنع الكون من الانهيار على نفسه، فلولاها لتسببت قوة الجاذبية في أن ينهار الكون على نفسه، وهنالك قبض وطيّ للكون يومَ القيامةِ : (وَمَا قَدَرُوا اللَّهَ حَقَّ قَدْرِهِ وَالْأَرْضُ جَمِيعًا قَبْضَتُهُ يَوْمَ الْقِيَامَةِ وَالسَّمَاوَاتُ مَطْوِيَّاتٌ بِيَمِينِهِ سُبْحَانَهُ وَتَعَالَى عَمَّا يُشْرِكُونَ) (الزمر 67) .  (يَوْمَ نَطْوِي السَّمَاءَ كَطَيّ السِّجِلِّ لِلْكُتُبِ كَمَا بَدَأْنَا أَوَّلَ خَلْقٍ نُعِيدُهُ وَعْدًا عَلَيْنَا إِنَّا كُنَّا فَاعِلِينَ) (الأنبياء آية 104).  يوم القيامة تطوى السماوات السبع كطي السجل (الصحيفة) على ما كتب فيها. وستُجمع مادة الكون وتقبض .

إنّ ما يسميّه علماء الكون بالطاقة الكونية المظلمة يرتبط ببناء السماء الواسع المتوسّع بقوة الله؛ يقول سبحانه: (وَالسَّمَاءَ بَنَيْنَاهَا بِأَيْيدٍ وَإِنَّا لَمُوسِعُونَ * وَالأرْضَ فَرَشْنَاهَا فَنِعْمَ الْمَاهِدُونَ * وَمِنْ كُلِّ شَيْءٍ خَلَقْنَا زَوْجَيْنِ لَعَلَّكُمْ تَذَكَّرُونَ) (49-47 الذّاريات سورة رقم 51 ).

أقوال المفسرين في قوله تعالى (وَإِنَّا لَمُوسِعُونَ) ([39])

وقال بعض المفسّرين : (وَإِنَّا لَمُوسِعُونَ) أي بناءها فالجملة حاليّة أي: بنيناها بتوسيعها ([40]).

وقيل خلقناها بقوّة وقدرة ونحن قادرون على أن نوسّعها كما نريد ([41]).

وقيل أي رفعناها بقوّة ([42]).

(وَإِنَّا لَمُوسِعُونَ) قيل : أي لقادرون على الإيساع، كما أوسعنا بناءها ([43]).

يقول الطبري:

حدثني عليّ، قال: ثنا أبو صالح، قال: ثني معاوية، عن عليّ، عن ابن عباس، قوله ( وَالسَّمَاءَ بَنَيْنَاهَا بِأَيْدٍ ) يقول: بقوة.

حدثني محمد بن عمرو، قال: ثنا أبو عاصم، قال: ثنا عيسى؛ وحدثني الحارث، قال: ثنا الحسن، قال: ثنا ورقاء جميعا، عن ابن أبي نجيح، عن مجاهد، قوله ( بِأَيْدٍ ) قال: بقوة.

حدثنا بشر، قال: ثنا يزيد، قال: ثنا سعيد، عن قتادة ( وَالسَّمَاءَ بَنَيْنَاهَا بِأَيْدٍ ) : أي بقوّة.

حدثنا ابن المثنى، قال: ثنا محمد بن جعفر، قال: ثنا شعبة، عن منصور أنه قال في هذه الآية ( وَالسَّمَاءَ بَنَيْنَاهَا بِأَيْدٍ ) قال: بقوة.

حدثني يونس، قال: أخبرنا ابن وهب، قال: قال ابن زيد، في قوله ( وَالسَّمَاءَ بَنَيْنَاهَا بِأَيْدٍ ) قال: بقوة.

حدثنا ابن حُمَيد، قال: ثنا مهران، عن سفيان ( وَالسَّمَاءَ بَنَيْنَاهَا بِأَيْدٍ ) قال: بقوة.

وقوله ( وَإِنَّا لَمُوسِعُونَ ) يقول: لذو سعة بخلقها وخلق ما شئنا أن نخلقه وقدرة عليه. ومنه قوله عَلَى الْمُوسِعِ قَدَرُهُ وَعَلَى الْمُقْتِرِ قَدَرُهُ [البقرة: 236] يراد به القويّ.

وقال ابن زيد في ذلك ما حدثني يونس، قال: أخبرنا ابن وهب، قال: قال ابن زيد، في قوله ( وَإِنَّا لَمُوسِعُونَ ) قال: أوسعها جلّ جلاله.

تقترن الأرض بالسَّمَاء لأنَّهما زوجان: (وَمِنْ كُلِّ شَيْءٍ خَلَقْنَا زَوْجَيْنِ لَعَلَّكُمْ تَذَكَّرُونَ) (بحثي: الأزواج الفيزيائيّة ، الأزواج الرياضياتية) ([44]).  فإذا عنت كلمةُ السَّمَاء البناء، فإنَّ الأرض تعني الأرضين السّبع كما هو في هذه الآية (عمري ، 2004 ، الأرضون السبع) ([45]).  وإذا ما عنت كلمةُ السَّمَاء العلوّ، فإنَّ الأرض تعني السفول.  هذا وإنَّ السَّمَاء والأرض بمفهوم البناء هما من قبيل الغيب : (فَلَا أُقْسِمُ بِمَا تُبْصِرُونَ * وَمَا لَا تُبْصِرُونَ) (الحاقة  38- 39 ).  فلعلّهما من قبيل المادّة المظلمة: الأرضين السّبع هي المادة المظلمة الباردة، والسَّمَاء (السماوات السّبع) لربّما مادة مظلمة حارّة.  وتنشأُ الطاقة الكونية المظلمة (طاقة الفراغ) عن كون بناء السماء متماسك ليس فيه شقوق ولا فطور وهو واسع متوسّع بقوة الله سبحانه.

يأتي الدليل الأساسي على وجود المادة المظلمة من الحسابات التي تظهر أن العديد من المجرات ستتصرف بشكل مختلف تمامًا إذا لم تحتوي على كمية كبيرة من المادة المظلمة غير المرئية. بعض المجرات لم تكن لتتشكل على الإطلاق، والبعض الآخر لن يتحرك كما هو الحال حاليًا. [3]  تتضمن خطوط الأدلة الأخرى الأرصاد المتعلقة فيما يعرف بعدسة الجاذبية [4] وإشعاع الخلفية الكونية عند الأطوال الموجية الميكرووية، جنبًا إلى جنب مع الملاحظات الفلكية للبنية الحالية للكون المرصود، وتشكيل المجرات وتطورها ، وموقع الكتلة أثناء تصادمات المجرات ، [5] وحركة المجرات داخل عناقيد المجرات. في نموذج Lambda-CDM القياسي لعلم الكونيات، إلإجمالي الكلّي لمحتوى الكون من الكتلة-الطاقة هو: حوالي 5٪ من المادة والطاقة العادية ، و 27٪ من المادة المظلمة ، و 68٪ منه هو شكل من أشكال الطاقة يُعرف باسم الطاقة المظلمة. [6][7][8][9] وبالتالي ، تشكل المادة المظلمة 85٪ [a] من الكتلة الكلية ، بينما تشكل الطاقة المظلمة والمادة المظلمة 95٪ من إجمالي المحتوى الكلّي الكتلة-الطاقة. [10][11][12][13]

الفرضيات البديلة للمادة المظلمة

تكمن مشكلة الفرضيات البديلة (للمادة المظلمة) في أن الأدلة الرصدية للمادة المظلمة تأتي من العديد من الأساليب المستقلة (انظر قسم "الأدلة الرصدية" في الفقرة السابقة من المقالة التي أستشهد فيها) ([46]).  من الممكن شرح أي ملاحظة فردية ولكن تفسير الملاحظات جميعا في غياب المادة المظلمة أمر صعب للغايةومع ذلك ، كانت هناك بعض النجاحات المتفرقة للفرضيات البديلة، مثل اختبار عام2016  لعدسة الجاذبية في الجاذبية الإنتروبية [179][180][181]  وقياس عام 2020 لتأثير MOND  الفريد ([47]) .  [182][183]الرأي السائد بين معظم علماء الفيزياء الفلكية هو أنه في حين أن التعديلات على النسبية العامة يمكن أن تفسر جزءا من الأدلة الرصدية ، فمن المحتمل أن تكون هناك بيانات كافية لاستنتاج أنه يجب أن يكون هناك شكل من أشكال المادة المظلمة الموجودة في الكون.  [17]

السَّمَاء بمعنى السقف والبناء مرفوعٌ بقوّة الله ([48])

إنّ بناء السَّمَاء واسع متوسّع ، ومكوّن من سبع طبقات، ومرفوع بقوّة اللّه :(وَالسَّمَاءَ بَنَيْنَاهَا بِأَيْيدٍ وَإِنَّا لَمُوسِعُونَ).  وتجتمع النجوم داخل المجرّة بواسطة جاذبيّة المادة المظلمة (Dark matter) الباردة وغير المرئيّة (الأرضين السبع): (وَالأرْضَ فَرَشْنَاهَا فَنِعْمَ الْمَاهِدُونَ).  وفي الحديث: (... أنَّ محمَّدًا رَسولَ اللَّهِ - صلَّى اللَّهُ عليهِ وعلَى آلِهِ وسلَّمَ - لم يَر قريةً يريدُ دخولَها إلَّا قالَ حينَ يراها : اللَّهم ربَّ السَّماواتِ السَّبعِ وما أظلَلنَ ، وربَّ الأرَضينِ السَّبعِ وما أقلَلنَ ، وربَّ الشَّياطينِ وما أضلَلنَ ، وربَّ الرياحِ وما ذَرينَ ، فإنَّا نسألُكَ خَيرَ هذِه القَريَةِ ، وخيرَ أهلِها ، ونَعوذُ بكَ مِن شرِّها ، وشرِّ أَهْلِها وشرِّ ما فيها ...) ([49]).

وفيما يلي بعض آيات القرآن التي تردُ فيها كلمةُ السَّمَاء بمعنى السقف والبناء:

(الَّذِي جَعَلَ لَكُمْ الأرْضَ فِرَاشًا وَالسَّمَاءَ بِنَاءً) 22] البقرة[.  السَّمَاء بناء وسقف متماسك متين محكم.  (وَالسَّقْفِ الْمَرْفُوعِ) 5] الطور[.  (أَأَنْتُمْ أَشَدُّ خَلْقًا أَمْ السَّمَاءُ بَنَاهَا*  رَفَعَ سَمْكَهَا فَسَوَّاهَا)] 28-27 النازعات رقمها 79 [.  جعل اللّه السَّمَاء سقفاً للأرْض مرفوعاً عالياً محروساً أن ينال ومحفوظاً من السّقوط.  (وَجَعَلْنَا السَّمَاءَ سَقْفًا مَحْفُوظًا وَهُمْ عَنْ آيَاتِهَا مُعْرِضُونَ) ]الأنبياء 21 آية رقم 32 [البناء السماوي مرفوعٌ بقوة الله؛ والتي يُطْلِقونَ عليها مسمى الطاقة المظلمة! ليكون هذا الاسم شاهداً على صدق القرآن: (وَهُمْ عَنْ آيَاتِهَا مُعْرِضُونَ).  وفيما يلي بعض هذه العبارات أقتبسها من مقال واحد تؤكّد هذا الإعراض ([50]):

"الطاقة المظلمة أكثر غموضا ، وكان اكتشافها في تسعينيات القرن العشرين صدمة كاملة للعلماء."!

"لعدم وجود اسم أفضل ، يطلق العلماء على هذه القوة الغامضة الطاقة المظلمة."!

"إن إضافة الطاقة المظلمة كثابت كوني يمكن أن يفسر بدقة كيف يتم تمديد الزمكان. لكن هذا التفسير لا يزال يترك العلماء جاهلين حول سبب وجود القوة الغريبة في المقام الأول ".!

“Dark energy is even more mysterious, and its discovery in the 1990s was a complete shock to scientists.”

“For lack of a better name, scientists call this mysterious force dark energy.”

“Adding in dark energy as a cosmological constant could neatly explain how space-time is being stretched apart. But that explanation still leaves scientists clueless (ignorant, جاهلين) as to why the strange force exists in the first place.

“Scientists have no plausible (معقول) explanation for dark energy.”

"ليس لدى العلماء تفسير معقول للطاقة المظلمة."

وفيما يلي بعض آيات القرآن التي تبيّنُ أنّ السقف مرفوعٌ من غير عمد (بناء السماء: عمري 2002):

(وَإِلَى السَّمَاءِ كَيْفَ رُفِعَتْ)] الغاشية رقمها 88 آية 18 [.  (خَلَقَ السَّمَاوَاتِ بِغَيْرِ عَمَدٍ تَرَوْنَهَا) ( لقمان سورة 31 آية 10 ).  (اللَّهُ الَّذِي رَفَعَ السَّمَاوَاتِ بِغَيْرِ عَمَدٍ تَرَوْنَهَا) (الرعد رقم 13 آية 2 ).  (الَّذِي جَعَلَ لَكُمْ الأرْضَ فِرَاشًا وَالسَّمَاءَ بِنَاءً) 22] البقرة[.  (أَأَنْتُمْ أَشَدُّ خَلْقًا أَمْ السَّمَاءُ بَنَاهَا*  رَفَعَ سَمْكَهَا فَسَوَّاهَا) (النازعات سورة 79 آية 28-27 ).  (وَالسَّقْفِ الْمَرْفُوعِ) ] الطور 52 آية 5 [.  (وَالسَّمَاءَ بَنَيْنَاهَا بِأَيْيدٍ وَإِنَّا لَمُوسِعُونَ * وَالأرْضَ فَرَشْنَاهَا فَنِعْمَ الْمَاهِدُونَ) ] الذّاريات سورة 51 آية  47- 48 ).

الفرعُ الأوّل: الضغط السّالب (Negative pressure) أو الطاقة المظلمة (Dark Energy)

Dark Energy [[51]].

Dark energy makes up approximately 70% of the universe and appears to be associated with the vacuum in space. It is distributed evenly throughout the universe, not only in space but also in time – in other words, its effect is not diluted as the universe expands. The even distribution means that dark energy does not have any local gravitational effects, but rather a global effect on the universe as a whole. This leads to a repulsive force, which tends to accelerate the expansion of the universe. The rate of expansion and its acceleration can be measured by observations based on the Hubble law. These measurements, together with other scientific data, have confirmed the existence of dark energy and provide an estimate of just how much of it exists.

Dark energy is persistent, which imparts a constant impulse to the expansion of the universe, which makes galaxies accelerate away.  Dark energy doesn’t dilute away as the universe expands.

حاليّاً تشكل الطاقة المظلمة ما يقرب من 70% من مكونات الكون، ويبدو أنها ترتبط مع الفراغ الكوني. يتم توزيعها بالتساوي في جميع أنحاء الكون، وليس فقط في فضاء المكان ولكن أيضا في الزمان .  وبعبارة أخرى، لا يضعف تأثيرها مع توسع الكون: (وَالسَّمَاءَ رَفَعَهَا وَوَضَعَ الْمِيزَانَ * أَلَّا تَطْغَوْا فِي الْمِيزَانِ) (الرحمن 8-7).  أَيْ خَلَقَ السَّمَوَاتِ وَالْأَرْضَ بِالْحَقِّ وَالْعَدْل لِتَكُونَ الْأَشْيَاء كُلّهَا بِالْحَقِّ وَالْعَدْل.

التوزيع المنتظم للطاقة المظلمة (وَالسَّمَاءَ رَفَعَهَا وَوَضَعَ الْمِيزَانَ) يعني أنه ليس لديها أي آثار جاذبية محلية، وإنما لها تأثير على نطاق الكون ككل. وتأثيرها يبدو كقوة طاردة، أو قوّة تنافر تعمل على تسريع توسع الكون. ويمكن قياس معدل التوسع والتسارع الكوني من خلال الأرصاد واستنادا إلى قانون هابل. هذه القياسات، جنبا إلى جنب مع بيانات علمية أخرى، أكدت وجود الطاقة المظلمة وحدّدت مقدارها.

الطاقة المظلمة ثابتة، وهي التي تبذل شغلاً وبدفع (impulse) ثابت يسهم في توسع الكون، الأمر الذي يجعل المجرات تتباعد وبتسارع.  الطاقة المظلمة لا تتناقص مع توسّع الكون!

 

Description: D:\Hussain Flash\Hussain\HUSSAIN (J)\EIJAZ\universecontent240.jpg

الشكل 7:  نسب مكونات الكون حاليّاً وكذلك في حقبة التمايز بين الإشعاع والمادة (قبل حوالي 13.7 مليار سنة). في حقبة التمايز، الرؤية العلمية أنّ نسبة الطاقة المظلمة قليلة: (بِغَيْرِ عَمَدٍ تَرَوْنَهَا)، بينما المادة المظلمة كانت 63%.  وهذا يعطي فرصة لتخلّق ذرات الهيدروجين ثمّ الهيليوم.

 

كثافة المادة الكونية المظلمة (الأرضين السّبع) والطاقة المظلمة

Dark Energy Survey (DES) reveals most accurate measurement of dark matter structure in the universe ([52]): Most notably, this result supports the theory that 26 percent of the universe is in the form of mysterious dark matter and that space is filled with an also-unseen dark energy, which is causing the accelerating expansion of the universe and makes up 70 percent.

Figure 4 below shows a map of dark matter made from gravitational lensing measurements of 26 million galaxies in the Dark Energy Survey (DES). The map covers about 1/30th of the entire sky and spans several billion light-years in extent. Red regions have more dark matter than average, blue regions less dark matter.

Scientists on DES are using the 570-megapixel Dark Energy Camera to map an eighth of the sky in unprecedented detail over five years. The fifth year of observation began in August 2017. The results at that date draw from data collected only during the survey’s first year, which covers 1/30th of the sky.

يكشف مسح الطاقة المظلمة عن القياس الأكثر دقة لبنية المادة المظلمة في الكون ([53]):  والأهم في ذلك ، تدعم هذه النتيجة النظرية القائلة بأن 26 بالمائة من الكون هو مادة مظلمة غامضة وأن الفضاء مليء بطاقة مظلمة غير مرئية أيضًا ، والتي تسبب التوسع المتسارع للكون وتشكل 70 في المئة من مكونات الكون.

يوضح الشكل 8 خريطة للمادة المظلمة المستوحاة من قياسات انحراف الضوء الناتج عن جاذبية 26 مليون مجرة في عملية مسح للطاقة المظلمة. تغطي الخريطة حوالي 1/30 من السماء بأكملها، وتمتد إلى عدة مليارات من السنين الضوئية. تحتوي المناطق الحمراء على مادة مظلمة أكثر من  متوسط قيمتها، والمناطق الزرقاء فيها مادة مظلمة أقل من المتوسط.

يستخدم العلماء كاميرا 570-megapixel معدّة لمسح الطاقة المظلمة، مقرّر الكاميرا أن ترسم خريطة لثُمن (1/8) السماء بتفاصيل غير مسبوقة وذلك على مدى خمس سنوات. بدأت السنة الخامسة من المراقبة في أغسطس 2017 . استمدت النتائج الصادرة يومها من البيانات التي تم جمعها فقط خلال السنة الأولى للمسح، والتي تغطي 1/30 من السماء.

 

 

الشكل 8 : يوضح الشكل خريطة للمادة المظلمة المستوحاة من قياسات انحراف الضوء الناتج عن جاذبية 26 مليون مجرة في عملية مسح للطاقة المظلمة.  تغطي الخريطة حوالي 1/30 من السماء بأكملها، وتمتد إلى عدة مليارات من السنين الضوئية. تحتوي المناطق الحمراء على مادة مظلمة بكثافة أكثر من متوسط قيمتها، والمناطق الزرقاء فيها مادة مظلمة بكثافة أقل من المتوسط.

Fig. 8: Map of dark matter made from gravitational lensing measurements of 26 million galaxies in the Dark Energy Survey. The map covers about 1/30th of the entire sky and spans several billion light-years in extent. Red regions have more dark matter than average, blue regions less dark matter. Image: Chihway Chang of the Kavli Institute for Cosmological Physics at the University of Chicago and the DES collaboration

يمتلك كلٌّ من الإشعاع والمادّة العاديّة والمادّة المظلمة ضغطاً موجباً؛ وبالتالي تؤثّر جميعها بقوة جذب ثقالي.  بينما تؤكّد النسبيّة العامّة أنّ قّوة تنافر تصاحب الضغط السّالب (negative pressure).  ويطلق الضغط السّالب على الحالة التي يكون فيها ضغط منطقة محصورة أقل من ضغط محيطها.  وبالتالي يمتاز الفراغ بجسامة ضغطه السّالب وامتلاكه طاقة مظلمة كبيرة.  لو تخيّلنا أنّ مكبسا (Piston) يغطّي أسطوانة مفرغة.  عند سحب المكبس للخارج يتعاظم الفراغ داخل الأسطوانة، وتزداد طاقته المظلمة بفعل القوّة التي تسحب المكبس للخارج.  في نفس الوقت نلاحظ أنّ الفراغ يؤثّر على المكبس بقوّة للداخل؛ وذلك أنّ ضغطه سالبٌ.  يشبهُ سحبَ المكبسِ توسّعُ بناءِ السَّمَاء: (وَالسَّمَاءَ بَنَيْنَاهَا بِأَيْيدٍ وَإِنَّا لَمُوسِعُونَ * وَالأرْضَ فَرَشْنَاهَا فَنِعْمَ الْمَاهِدُونَ) (48-47 الذّاريات سورة رقم 51 )

مجموع رقمي هاتين الآيتين (47+48 = 95) يساوي عدديّاً القيمة الحاليّة لمجموع نسبتي الطاقة المظلمة والمادّة المظلمة؛ فمكوّنات الكون حاليّاً هي تقريباً: 70 بالمائة طاقة مظلمة، 25.4 بالمائة مادة مظلمة، 4.75 بالمائة مادة عاديّة (الذرات والنجوم والمجرات).

Dark energy could be getting weaker, suggesting the universe will end in a 'Big Crunch' [54] !

"The discovery of evolving dark energy would be as revolutionary as the discovery of the accelerated expansion of the universe itself, if confirmed."

The Dark Energy Spectroscopic Instrument at Kitt Peak National Observatory in Arizona has produced the largest 3D map of our universe to date.

اكتشاف جديد يبين أن كثافة الطاقة المظلمة لربما تتناقص حاليّاً مع الزمن ! وبالتالي سيؤدي هذا إلى انهيار الكون على نفسه ([55]) : (وَيُمْسِكُ السَّمَاءَ أَنْ تَقَعَ عَلَى الْأَرْضِ إِلَّا بِإِذْنِهِ إِنَّ اللَّهَ بِالنَّاسِ لَرَءُوفٌ رَحِيمٌ ) (سورة الحج آية 65) ، (وَمَا قَدَرُوا اللَّهَ حَقَّ قَدْرِهِ وَالْأَرْضُ جَمِيعًا قَبْضَتُهُ يَوْمَ الْقِيَامَةِ وَالسَّمَاوَاتُ مَطْوِيَّاتٌ بِيَمِينِهِ سُبْحَانَهُ وَتَعَالَى عَمَّا يُشْرِكُونَ) (الزمر 67) ، (يَوْمَ نَطْوِي السَّمَاءَ كَطَيّ السِّجِلِّ لِلْكُتُبِ كَمَا بَدَأْنَا أَوَّلَ خَلْقٍ نُعِيدُهُ وَعْدًا عَلَيْنَا إِنَّا كُنَّا فَاعِلِينَ) (الأنبياء آية 104).

(Yawm (Judgment Day) when We will fold the Sama in a way that resembles how the registrar or the record folder folds the books (documents) it contains. As We began the first creation, We will repeat it. [That is] a promise binding upon Us. Indeed, We will do it.) (Sura Al-Anbiyaa, verse 104).

يتسارع توسع الكون ، لكنّ أحدث البيانات تشير إلى أنّ معدل التسارع لربّما يتناقص.

فريق أداة الطاقة المظلمة الطيفية (DESI)، وهو مجموعة من الفيزيائيين الذين يبحثون في الطاقة المظلمة - شكل غامض ومثير من الطاقة يتخلل الكون ((وَجَعَلْنَا السَّمَاءَ سَقْفًا مَحْفُوظًا وَهُمْ عَنْ آيَاتِهَا مُعْرِضُونَ) ]الأنبياء 21 آية رقم 32 [.).

منذ عام 1998 ، عرفنا أن توسع الكون يتسارع.  الطاقة المظلمة هي الاسم الذي يطلق على المُسرِّع (قوة الله: (وَالسَّمَاءَ بَنَيْنَاهَا بِأَيْيدٍ وَإِنَّا لَمُوسِعُونَ)).  في النموذج النظري القياسي للكون، يكون للطاقة المظلمة شكل بسيط: تنتشر بشكل متجانس في الفضاء ، مع الحفاظ على كثافة ثابتة في جميع الأزمنة. الطاقة المظلمة من هذا النوع، والمعروفة باسم الثابت الكوني ، لا تضعف مع توسع الكون.

لكنّ ثبات الطاقة المظلمة (مع الزمن) هو مجرد فرضية، وهي فرضية شرعت تجربة DESI في التحقق منها. أفاد فريق العمل أنهم قاموا حتى الآن برسم خرائط وتحليل مواقع6.4  مليون مجرة لتحديد مدى سرعة توسع الكون بدلالة الزمن.  المجرات البعيدة تكشف عن الكون المبكّر.  إذا كانت الطاقة المظلمة ثابت كوني، فيجب أن يظل التسارع ثابتا.  لم تكن مجموعة بيانات DESI  كبيرة بما يكفي لاختبار ذلك بمفردها ، على الرغم من أن الفريق سيكون قادرا على القيام بذلك بعد رسم خرائط لما مجموعه 40 مليون مجرة خلال المسح الذي استمر خمس سنوات.  ولكن عندما جمع العلماء بياناتهم مع الملاحظات الفلكية الأخرى، فضّلتْ مجموعات البيانات المجمّعة طاقة مظلمة متغيّرة (مع الزمن).

النتائج لا ترقى إلى مستوى اليقين الإحصائي اللازم للادّعاء بالاكتشاف.  في الوقت الحالي، تصفDESI  ذلك بأنه "تلميح" إلى أن الطاقة المظلمة قد تتناقص كثافتها. ولكن وفقا لناتالي بالانك ديلابرويل ، عالمة الكونيات في مختبر لورانس بيركلي الوطني وأحد قادة DESI، "يصبح هذا التلميح أقوى عندما نبدأ في الجمع بين مجموعات البيانات المختلفة. ويبدو أن كل مجموعات البيانات هذه تشير إلى نفس الاتجاه".

وقال فافا (Vafa) إن كثافة الطاقة المظلمة "تريد دائما أن تتناقص ." وهذا يتماشى مع الميل الطبيعي للأنظمة الفيزيائية للانتقال إلى طاقة أقل.

The expansion of the universe is speeding up, but the latest data suggests that the rate of acceleration may be decreasing.

Dark Energy Spectroscopic Instrument (DESI) collaboration, a group of physicists who are investigating dark energy — a mysterious, repulsive form of energy that permeates the universe.  The chosen name “dark energy” is related to an implication of the noble verse: (And We made the Sama a protected ceiling, but they, from its signs, are turning away.) (الأنبياء Al-Anbiyaa surah 21, verse 32).

Since 1998, we’ve known that the expansion of the universe is accelerating. Dark energy is the name given to the accelerant: (And the Sama We constructed with our (infinite) strength, and indeed, We are [its] expander) (Adh-Dhaariyat - الذاريات, verses: 47). In the standard theoretical model of the cosmos, dark energy has a simple form: It is spread uniformly in space, maintaining a constant density at all times. Dark energy of this type, known as the cosmological constant, would not get diluted as the universe expands.

But the constancy of dark energy is merely a hypothesis, one that the DESI experiment set out to check. The collaboration reported that they had so far mapped and analyzed the locations of 6.4 million galaxies to determine how fast the universe has expanded as a function of time. (More distant galaxies reveal the younger universe.) If dark energy is a cosmological constant, then the acceleration should hold steady. DESI’s data set wasn’t big enough to test this by itself, though the team will be able to do so after mapping a total of 40 million galaxies during the five-year survey. But when the scientists pooled their data with other astronomical observations, the combined data sets favored an evolving dark energy.

The findings fall short of the level of statistical certainty needed to claim a discovery. Right now, DESI is calling it a “hint” that dark energy might be weakening in strength. But according to Nathalie Palanque-Delabrouille  , a cosmologist at Lawrence Berkeley National Laboratory and one of the leaders of DESI, “that hint gets stronger as we start combining different data sets. And all these data sets seem to be pointing in the same direction.”

The density of dark energy “always wants to fall down,” Vafa said. That’s in keeping with the natural tendency of physical systems to move to a lower energy.

 

يضعف تأثير الطاقة المظلمة مع مرور الوقت ، وهو اكتشاف حديث:  "خريطة للكون ثلاثية الأبعاد الأكبر من أي وقت مضى تُلمحُ إلى أن الطاقة المظلمة التي تغذي توسع الكون قد تتناقص كثافتها (مع الزمن).  توقع فريق واحد من علماء الفيزياء النظرية نفس الشيء.  كان الإعتقاد أن توسع الكون يتسارع ، لكنّ هذه البيانات الأحدث تشير الآن إلى أن معدل التسارع قد يتناقص " .  19 أغسطس 2024 : (وَيُمْسِكُ السَّمَاءَ أَنْ تَقَعَ عَلَى الْأَرْضِ إِلَّا بِإِذْنِهِ).

The effect of dark energy is weakening with time, a recent discovery: “The largest-ever 3D map of the cosmos hints that the dark energy that's fueling the universe's expansion may be weakening. One community of theoretical physicists expected the same. The expansion of the universe is thought to be speeding up ([56]), but now the latest data suggests that the rate of acceleration may be decreasing. “ Aug 19, 2024 ([57])

 

The new DESI map, however, could indicate a different cosmic fate that sees the universe collapsing once again into the hot, dense state seen moments after the Big Bang. "If what the first year of DESI results suggests is true, then the accelerated expansion of the universe will cease and eventually reverse, and the universe could begin drawing together under the influence of gravity," García Peñaloza added. "This could eventually lead to the universe ending in a 'Big Crunch' scenario."

ومع ذلك ، يمكن أن تشير خريطة DESI  الجديدة إلى مصير كوني مختلف يرى الكون ينهار مرة أخرى إلى الحالة الساخنة والكثيفة التي شوهدت بعد لحظات من الانفجار (أو الارتداد) العظيم.  وأضاف غارسيا بينالوزا:  "إذا كان ما تقترحه نتائج DESI في بيانات السنة الأولى صحيحا ، فإن التوسع المتسارع للكون سيتوقف وينعكس في النهاية، ويمكن أن يبدأ الكون في التجمع تحت تأثير الجاذبية.  "قد يؤدي هذا في النهاية إلى انتهاء الكون بسيناريو الانسحاق العظيم أو الانسحاق الشديد أو السحق الأعظم[1] أو الضربة الاهتزازية[2] (Big Crunch) وهي معكوس عملية الانفجار العظيم، فيعود الكون إلى كتلة واحدة صغيرة في الحجم عالية الكثافة والكتلة.

وفي هذا يقول سبحانه: (وَمَا قَدَرُوا اللَّهَ حَقَّ قَدْرِهِ وَالْأَرْضُ جَمِيعًا قَبْضَتُهُ يَوْمَ الْقِيَامَةِ وَالسَّمَاوَاتُ مَطْوِيَّاتٌ بِيَمِينِهِ سُبْحَانَهُ وَتَعَالَى عَمَّا يُشْرِكُونَ)قوّة الله تسرّع التوسّع الكوني . وقبيل قيام الساعة فإنّ قوّة الله توقف هذا التوسّع، بل وتُسرّعُ الانسحاق الكوني: (يَوْمَ نَطْوِي السَّمَاءَ كَطَيّ السِّجِلِّ لِلْكُتُبِ).

الفرعُ الثاني: نِسبُ مكونات الكون ([58])

النسبة بين المادة الكونية المظلمة والمادة العاديّة هي:  25.4/4.75 = 5.35وهذه النسبة يمكن الحصول عليها من نسبة عدد الآيات التي تذكر عالم الغيب (53 أو 54) إلى تلك التي تذكر عالم الشهادة (10) (أنظر جدول 1 آيات الغيب والشهادة).

53.5/10 = 5.35

جدول 1 : آيات الغيب والشهادة

الرقم

السورة ورقمها

Surah and its No.

الآية ورقمها  Verse and its number

1

البقرة (2)

( الَّذِينَ يُؤْمِنُونَ بِالْغَيْبِ وَيُقِيمُونَ الصَّلَاةَ وَمِمَّا رَزَقْنَاهُمْ يُنْفِقُونَ ) (3)

2

البقرة (2)

( قَالَ يَا آدَمُ أَنْبِئْهُمْ بِأَسْمَائِهِمْ فَلَمَّا أَنْبَأَهُمْ بِأَسْمَائِهِمْ قَالَ أَلَمْ أَقُلْ لَكُمْ إِنِّي أَعْلَمُ غَيْبَ السَّمَاوَاتِ وَالْأَرْضِ وَأَعْلَمُ مَا تُبْدُونَ وَمَا كُنْتُمْ تَكْتُمُونَ ) (33)

3

آل عمران (3)

 (.. وَمَا كَانَ اللَّهُ لِيُطْلِعَكُمْ عَلَى الْغَيْبِ وَلَكِنَّ اللَّهَ يَجْتَبِي مِنْ رُسُلِهِ مَنْ يَشَاءُ فَآمِنُوا بِاللَّهِ وَرُسُلِهِ وَإِنْ تُؤْمِنُوا وَتَتَّقُوا فَلَكُمْ أَجْرٌ عَظِيمٌ) (179)

4

النساء (4)

 ( ... فَالصَّالِحَاتُ قَانِتَاتٌ حَافِظَاتٌ لِلْغَيْبِ بِمَا حَفِظَ اللَّهُ وَاللَّاتِي تَخَافُونَ نُشُوزَهُنَّ فَعِظُوهُنَّ  ... ) (34)

5

المائدة (5)

( يَا أَيُّهَا الَّذِينَ آمَنُوا لَيَبْلُوَنَّكُمُ اللَّهُ بِشَيْءٍ مِنَ الصَّيْدِ تَنَالُهُ أَيْدِيكُمْ وَرِمَاحُكُمْ لِيَعْلَمَ اللَّهُ مَنْ يَخَافُهُ بِالْغَيْبِ فَمَنِ اعْتَدَى بَعْدَ ذَلِكَ فَلَهُ عَذَابٌ أَلِيمٌ) (94)

"لِيَعْلَم اللَّه" عِلْم ظُهُور "مَنْ يَخَافهُ بِالْغَيْبِ" حَال أَيْ غَائِبًا لَمْ يَرَهُ فَيَجْتَنِب الصَّيْد .

6

الأنعام (6)

 ( قُلْ لَا أَقُولُ لَكُمْ عِنْدِي خَزَائِنُ اللَّهِ وَلَا أَعْلَمُ الْغَيْبَ وَلَا أَقُولُ لَكُمْ إِنِّي مَلَكٌ ..) (50)

7

الأنعام (6)

( وَعِنْدَهُ مَفَاتِحُ الْغَيْبِ لَا يَعْلَمُهَا إِلَّا هُوَ وَيَعْلَمُ مَا فِي الْبَرِّ وَالْبَحْرِ وَمَا تَسْقُطُ مِنْ وَرَقَةٍ إِلَّا يَعْلَمُهَا وَلَا حَبَّةٍ فِي ظُلُمَاتِ الْأَرْضِ وَلَا رَطْبٍ وَلَا يَابِسٍ إِلَّا فِي كِتَابٍ مُبِينٍ) (59)

8

الأنعام (6)

(وَهُوَ الَّذِي خَلَقَ السَّمَاوَاتِ وَالْأَرْضَ بِالْحَقِّ وَيَوْمَ يَقُولُ كُنْ فَيَكُونُ قَوْلُهُ الْحَقُّ وَلَهُ الْمُلْكُ يَوْمَ يُنْفَخُ فِي الصُّورِ عَالِمُ الْغَيْبِ وَالشَّهَادَةِ وَهُوَ الْحَكِيمُ الْخَبِيرُ) (73)

9

الأعراف (7)

(قُلْ لَا أَمْلِكُ لِنَفْسِي نَفْعًا وَلَا ضَرًّا إِلَّا مَا شَاءَ اللَّهُ وَلَوْ كُنْتُ أَعْلَمُ الْغَيْبَ لَاسْتَكْثَرْتُ مِنَ الْخَيْرِ وَمَا مَسَّنِيَ السُّوءُ إِنْ أَنَا إِلَّا نَذِيرٌ وَبَشِيرٌ لِقَوْمٍ يُؤْمِنُونَ) (188)

10

التوبة (9)

(يَعْتَذِرُونَ إِلَيْكُمْ إِذَا رَجَعْتُمْ إِلَيْهِمْ قُلْ لَا تَعْتَذِرُوا لَنْ نُؤْمِنَ لَكُمْ قَدْ نَبَّأَنَا اللَّهُ مِنْ أَخْبَارِكُمْ وَسَيَرَى اللَّهُ عَمَلَكُمْ وَرَسُولُهُ ثُمَّ تُرَدُّونَ إِلَى عَالِمِ الْغَيْبِ وَالشَّهَادَةِ فَيُنَبِّئُكُمْ بِمَا كُنْتُمْ تَعْمَلُونَ) (94)

11

التوبة (9)

(وَقُلِ اعْمَلُوا فَسَيَرَى اللَّهُ عَمَلَكُمْ وَرَسُولُهُ وَالْمُؤْمِنُونَ وَسَتُرَدُّونَ إِلَى عَالِمِ الْغَيْبِ وَالشَّهَادَةِ فَيُنَبِّئُكُمْ بِمَا كُنْتُمْ تَعْمَلُونَ) (105)

12

يونس (10)

(وَيَقُولُونَ لَوْلَا أُنْزِلَ عَلَيْهِ آيَةٌ مِنْ رَبِّهِ فَقُلْ إِنَّمَا الْغَيْبُ لِلَّهِ فَانْتَظِرُوا إِنِّي مَعَكُمْ مِنَ الْمُنْتَظِرِينَ) (20)

13

هود (11)

(وَلَا أَقُولُ لَكُمْ عِنْدِي خَزَائِنُ اللَّهِ وَلَا أَعْلَمُ الْغَيْبَ وَلَا أَقُولُ إِنِّي مَلَكٌ وَلَا أَقُولُ لِلَّذِينَ تَزْدَرِي أَعْيُنُكُمْ لَنْ يُؤْتِيَهُمُ اللَّهُ خَيْرًا اللَّهُ أَعْلَمُ بِمَا فِي أَنْفُسِهِمْ إِنِّي إِذًا لَمِنَ الظَّالِمِينَ) (31)

14

هود (11)

(وَلِلَّهِ غَيْبُ السَّمَاوَاتِ وَالْأَرْضِ وَإِلَيْهِ يُرْجَعُ الْأَمْرُ كُلُّهُ فَاعْبُدْهُ وَتَوَكَّلْ عَلَيْهِ وَمَا رَبُّكَ بِغَافِلٍ عَمَّا تَعْمَلُونَ) (123)

15

يوسف (12)

(ارْجِعُوا إِلَى أَبِيكُمْ فَقُولُوا يَا أَبَانَا إِنَّ ابْنَكَ سَرَقَ وَمَا شَهِدْنَا إِلَّا بِمَا عَلِمْنَا وَمَا كُنَّا لِلْغَيْبِ حَافِظِينَ) (81)

16

الرعد (13)

(عَالِمُ الْغَيْبِ وَالشَّهَادَةِ الْكَبِيرُ الْمُتَعَالِ) (9)

17

النحل (16)

(وَلِلَّهِ غَيْبُ السَّمَاوَاتِ وَالْأَرْضِ وَمَا أَمْرُ السَّاعَةِ إِلَّا كَلَمْحِ الْبَصَرِ أَوْ هُوَ أَقْرَبُ إِنَّ اللَّهَ عَلَى كُلِّ شَيْءٍ قَدِيرٌ) (77)

18

الكهف (18)

(قُلِ اللَّهُ أَعْلَمُ بِمَا لَبِثُوا لَهُ غَيْبُ السَّمَاوَاتِ وَالْأَرْضِ أَبْصِرْ بِهِ وَأَسْمِعْ مَا لَهُمْ مِنْ دُونِهِ مِنْ وَلِيٍّ وَلَا يُشْرِكُ فِي حُكْمِهِ أَحَدًا) (26)

19

مريم (19)

(جَنَّاتِ عَدْنٍ الَّتِي وَعَدَ الرَّحْمَنُ عِبَادَهُ بِالْغَيْبِ إِنَّهُ كَانَ وَعْدُهُ مَأْتِيًّا) (61)

20

مريم (19)

(أَطَّلَعَ الْغَيْبَ أَمِ اتَّخَذَ عِنْدَ الرَّحْمَنِ عَهْدًا) (78)

21

الأنبياء (21)

(الَّذِينَ يَخْشَوْنَ رَبَّهُمْ بِالْغَيْبِ وَهُمْ مِنَ السَّاعَةِ مُشْفِقُونَ) (49)

22

المؤمنون (23)

(عَالِمِ الْغَيْبِ وَالشَّهَادَةِ فَتَعَالَى عَمَّا يُشْرِكُونَ) (92)

23

النمل (27)

(قُلْ لَا يَعْلَمُ مَنْ فِي السَّمَاوَاتِ وَالْأَرْضِ الْغَيْبَ إِلَّا اللَّهُ وَمَا يَشْعُرُونَ أَيَّانَ يُبْعَثُونَ) (65)

24

السجدة (32)

(ذَلِكَ عَالِمُ الْغَيْبِ وَالشَّهَادَةِ الْعَزِيزُ الرَّحِيمُ) (6)

25

سبأ (34)

(وَقَالَ الَّذِينَ كَفَرُوا لَا تَأْتِينَا السَّاعَةُ قُلْ بَلَى وَرَبِّي لَتَأْتِيَنَّكُمْ عَالِمِ الْغَيْبِ لَا يَعْزُبُ عَنْهُ مِثْقَالُ ذَرَّةٍ فِي السَّمَاوَاتِ وَلَا فِي الْأَرْضِ وَلَا أَصْغَرُ مِنْ ذَلِكَ وَلَا أَكْبَرُ إِلَّا فِي كِتَابٍ مُبِينٍ) (3)

26

سبأ (34)

 ( .. فَلَمَّا خَرَّ تَبَيَّنَتِ الْجِنُّ أَنْ لَوْ كَانُوا يَعْلَمُونَ الْغَيْبَ مَا لَبِثُوا فِي الْعَذَابِ الْمُهِينِ) (14)

27

سبأ (34)

(وَقَدْ كَفَرُوا بِهِ مِنْ قَبْلُ وَيَقْذِفُونَ بِالْغَيْبِ مِنْ مَكَانٍ بَعِيدٍ) (53)

28

فاطر (35)

 (.. إِنَّمَا تُنْذِرُ الَّذِينَ يَخْشَوْنَ رَبَّهُمْ بِالْغَيْبِ وَأَقَامُوا الصَّلَاةَ وَمَنْ تَزَكَّى فَإِنَّمَا يَتَزَكَّى لِنَفْسِهِ وَإِلَى اللَّهِ الْمَصِيرُ) (18)

"إنَّمَا تُنْذِر الَّذِينَ يَخْشَوْنَ رَبّهمْ بِالْغَيْبِ" أَيْ يَخَافُونَهُ وَمَا رَأَوْهُ لِأَنَّهُمْ الْمُنْتَفِعُونَ بِالْإِنْذَارِ "وَأَقَامُوا الصَّلَاة" أَدَامُوهَا "وَمَنْ تَزَكَّى" تَطَهَّرَ مِنْ الشِّرْك وَغَيْره "فَإِنَّمَا يَتَزَكَّى لِنَفْسِهِ" فَصَلَاحه مُخْتَصّ بِهِ "وَإِلَى اللَّه الْمَصِير" الْمَرْجِع فَيَجْزِي بِالْعَمَلِ فِي الْآخِرَة

29

فاطر (35)

(إِنَّ اللَّهَ عَالِمُ غَيْبِ السَّمَاوَاتِ وَالْأَرْضِ إِنَّهُ عَلِيمٌ بِذَاتِ الصُّدُورِ) (38)

30

يس (36)

(إِنَّمَا تُنْذِرُ مَنِ اتَّبَعَ الذِّكْرَ وَخَشِيَ الرَّحْمَنَ بِالْغَيْبِ فَبَشِّرْهُ بِمَغْفِرَةٍ وَأَجْرٍ كَرِيمٍ) (11)

"إنَّمَا تُنْذِر" يَنْفَع إنْذَارك "مَنْ اتَّبَعَ الذِّكْر" الْقُرْآن "وَخَشِيَ الرَّحْمَن بِالْغَيْبِ" خَافَهُ وَلَمْ يَرَهُ "فَبَشِّرْهُ بِمَغْفِرَةٍ وَأَجْر كَرِيم" هُوَ الْجَنَّة

31

الزمر (39)

(قُلِ اللَّهُمَّ فَاطِرَ السَّمَاوَاتِ وَالْأَرْضِ عَالِمَ الْغَيْبِ وَالشَّهَادَةِ أَنْتَ تَحْكُمُ بَيْنَ عِبَادِكَ فِي مَا كَانُوا فِيهِ يَخْتَلِفُونَ) (46)

32

الحجرات (49)

(إِنَّ اللَّهَ يَعْلَمُ غَيْبَ السَّمَاوَاتِ وَالْأَرْضِ وَاللَّهُ بَصِيرٌ بِمَا تَعْمَلُونَ) (18)

33

ق (50)

(مَنْ خَشِيَ الرَّحْمَنَ بِالْغَيْبِ وَجَاءَ بِقَلْبٍ مُنِيبٍ) (33)

34

الطور (52)

(أَمْ عِنْدَهُمُ الْغَيْبُ فَهُمْ يَكْتُبُونَ) ) (41): ("أَمْ عِنْدهمْ الْغَيْب" أَيْ عِلْمه "فَهُمْ يَكْتُبُونَ" ذَلِكَ حَتَّى يُمْكِنهُمْ مُنَازَعَة النَّبِيّ صَلَّى اللَّه عَلَيْهِ وَسَلَّمَ فِي الْبَعْث وَأُمُور الْآخِرَة بِزَعْمِهِمْ)

35

النجم (53)

(أَعِنْدَهُ عِلْمُ الْغَيْبِ فَهُوَ يَرَى) (35)

36

الحديد (57)

(لَقَدْ أَرْسَلْنَا رُسُلَنَا بِالْبَيِّنَاتِ وَأَنْزَلْنَا مَعَهُمُ الْكِتَابَ وَالْمِيزَانَ لِيَقُومَ النَّاسُ بِالْقِسْطِ وَأَنْزَلْنَا الْحَدِيدَ فِيهِ بَأْسٌ شَدِيدٌ وَمَنَافِعُ لِلنَّاسِ وَلِيَعْلَمَ اللَّهُ مَنْ يَنْصُرُهُ وَرُسُلَهُ بِالْغَيْبِ إِنَّ اللَّهَ قَوِيٌّ عَزِيزٌ) (25)

37

الحشر (59)

(هُوَ اللَّهُ الَّذِي لَا إِلَهَ إِلَّا هُوَ عَالِمُ الْغَيْبِ وَالشَّهَادَةِ هُوَ الرَّحْمَنُ الرَّحِيمُ) (22)

38

الجمعة (62)

(قُلْ إِنَّ الْمَوْتَ الَّذِي تَفِرُّونَ مِنْهُ فَإِنَّهُ مُلَاقِيكُمْ ثُمَّ تُرَدُّونَ إِلَى عَالِمِ الْغَيْبِ وَالشَّهَادَةِ فَيُنَبِّئُكُمْ بِمَا كُنْتُمْ تَعْمَلُونَ) (8)

39

التغابن (64)

(عَالِمُ الْغَيْبِ وَالشَّهَادَةِ الْعَزِيزُ الْحَكِيمُ) (18)

40

الملك (67)

(إِنَّ الَّذِينَ يَخْشَوْنَ رَبَّهُمْ بِالْغَيْبِ لَهُمْ مَغْفِرَةٌ وَأَجْرٌ كَبِيرٌ) (12)

41

القلم (68)

(أَمْ عِنْدَهُمُ الْغَيْبُ فَهُمْ يَكْتُبُونَ) (47)

42

الجن (72)

(عَالِمُ الْغَيْبِ فَلَا يُظْهِرُ عَلَى غَيْبِهِ أَحَدًا) (26)

43

التكوير (81)

(وَمَا هُوَ عَلَى الْغَيْبِ بِضَنِينٍ ) (24)

" وَمَا هُوَ " مُحَمَّد صَلَّى اللَّه عَلَيْهِ وَسَلَّمَ " عَلَى الْغَيْب " مَا غَابَ مِنْ الْوَحْي وَخَبَر السَّمَاء " بِضَنِينِ " أَيْ بِمُتَّهَمٍ , وَفِي قِرَاءَة بِالضَّادِ , أَيْ بِبَخِيلٍ فَيَنْتَقِص شَيْئًا مِنْهُ

44

المائدة (5)

(يَوْمَ يَجْمَعُ اللَّهُ الرُّسُلَ فَيَقُولُ مَاذَا أُجِبْتُمْ قَالُوا لَا عِلْمَ لَنَا إِنَّكَ أَنْتَ عَلَّامُ الْغُيُوبِ) (109)

45

المائدة (5)

(وَإِذْ قَالَ اللَّهُ يَا عِيسَى ابْنَ مَرْيَمَ أَأَنْتَ قُلْتَ لِلنَّاسِ اتَّخِذُونِي وَأُمِّيَ إِلَهَيْنِ مِنْ دُونِ اللَّهِ قَالَ سُبْحَانَكَ مَا يَكُونُ لِي أَنْ أَقُولَ مَا لَيْسَ لِي بِحَقٍّ إِنْ كُنْتُ قُلْتُهُ فَقَدْ عَلِمْتَهُ تَعْلَمُ مَا فِي نَفْسِي وَلَا أَعْلَمُ مَا فِي نَفْسِكَ إِنَّكَ أَنْتَ عَلَّامُ الْغُيُوبِ) (116)

46

التوبة (9)

(أَلَمْ يَعْلَمُوا أَنَّ اللَّهَ يَعْلَمُ سِرَّهُمْ وَنَجْوَاهُمْ وَأَنَّ اللَّهَ عَلَّامُ الْغُيُوبِ) (78)

47

سبأ (34)

(قُلْ إِنَّ رَبِّي يَقْذِفُ بِالْحَقِّ عَلَّامُ الْغُيُوبِ) (48)

48

النمل (27)

(وَمَا مِنْ غَائِبَةٍ فِي السَّمَاءِ وَالْأَرْضِ إِلَّا فِي كِتَابٍ مُبِينٍ) (75)

49

الأعراف (7)

(فَلَنَقُصَّنَّ عَلَيْهِمْ بِعِلْمٍ وَمَا كُنَّا غَائِبِينَ) (7)

50

الانفطار (82)

(وَمَا هُمْ عَنْهَا بِغَائِبِينَ) (16)

" وَمَا هُمْ عَنْهَا (جَحِيم) بِغَائِبِينَ " بِمُخْرَجِينَ

الرقم

السورة

الآية ورقمها

1

آل عمران

{44} ذَلِكَ مِنْ أَنْبَاءِ الْغَيْبِ نُوحِيهِ إِلَيْكَ وَمَا كُنْتَ لَدَيْهِمْ إِذْ يُلْقُونَ أَقْلَامَهُمْ أَيُّهُمْ يَكْفُلُ مَرْيَمَ وَمَا كُنْتَ لَدَيْهِمْ إِذْ يَخْتَصِمُونَ

2

هود

{49} تِلْكَ مِنْ أَنْبَاءِ الْغَيْبِ نُوحِيهَا إِلَيْكَ مَا كُنْتَ تَعْلَمُهَا أَنْتَ وَلَا قَوْمُكَ مِنْ قَبْلِ هَذَا فَاصْبِرْ إِنَّ الْعَاقِبَةَ لِلْمُتَّقِينَ

3

يوسف

{52} ذَلِكَ لِيَعْلَمَ أَنِّي لَمْ أَخُنْهُ بِالْغَيْبِ وَأَنَّ اللَّهَ لَا يَهْدِي كَيْدَ الْخَائِنِينَ

4

يوسف

{102} ذَلِكَ مِنْ أَنْبَاءِ الْغَيْبِ نُوحِيهِ إِلَيْكَ وَمَا كُنْتَ لَدَيْهِمْ إِذْ أَجْمَعُوا أَمْرَهُمْ وَهُمْ يَمْكُرُونَ

 

وعند حصول التمايز بين المادة والإشعاع؛ كانت النسبة بين المادة المظلمة (63 بالمائة) والمادة العاديّة من الذرات (12 بالمائة) هي:  (63/12 = 5.25).

يقول تعالى: (ثُمَّ اسْتَوَى إِلَى السَّمَاءِ وَهِيَ دُخَانٌ فَقَالَ لَهَا وَلِلأرْضِ اِئْتِيَا طَوْعًا أَوْ كَرْهًا قَالَتَا أَتَيْنَا طَائِعِينَ) (فصّلت سورة رقم 41 آية 11)

“Dark energy permeates all of space and tends to increase the rate of expansion of the universe.  Dark energy is the most accepted theory to explain recent observations and experiments that the universe appears to be expanding at an accelerating rate. In the standard model of cosmology, dark energy currently accounts for 70% of the total mass-energy of the universe.” ([59]).

“In physical cosmology and astronomy, dark energy is an unknown form of energy that affects the universe on the largest scales. Its primary effect is to drive the accelerating expansion of the universe : (وَالسَّمَاءَ بَنَيْنَاهَا بِأَيْيدٍ وَإِنَّا لَمُوسِعُونَ). Assuming that the lambda-CDM model of cosmology is correct,[1] dark energy is the dominant component of the universe, currently contributing for 70% of the total mass-energy in the present-day observable universe while dark matter and ordinary (baryonic) matter contribute about 25% and 5%, respectively.[2][3][4][5] Dark energy's density is very low: 7×10−30 g/cm3 (6×10−10 J/m3 in mass-energy), much less than the density of ordinary matter or dark matter within galaxies. However, it dominates the universe's mass–energy content because it is uniform across space.[6][7][8] ” ([60])

قيمة النسبة الحاليّة للطاقة المظلمة هي 70%.  ومن الإعجاز العلمي أن نجد أنّ هذه النسبة قريبة من نسبة عدد الآيات التي تذكر بعض أسماء الله أو صفاته أو فيها ضميرٌ عائدٌ إلى اللّه، منسوبة إلى العدد الكلي لآيات القرآن الكريم.([61])  ولا عجب فإنّ الله هو الذي يوسع وبقوّته بناء السَّمَاء: (وَالسَّمَاءَ بَنَيْنَاهَا بِأَيْيدٍ وَإِنَّا لَمُوسِعُونَ) (47 الذّاريات). 

نسب عدد الآيات في جميع سور القرآن هي:

(1368+2650)/ 6229 = 0.6451

النسب مع البسملة:

(1368+2650+112)/ (6229+112) = 0.6513

نسب عدد الآيات (التي تذكر بعض أسماء الله أو صفاته أو فيها ضميرٌ عائدٌ إلى اللّه) في (85 سورة)، وهي سور القرآن باستثناء تلك السور التي موضوعها الرئيسي هو يوم القيامة؛ حيث تزول السَّمَاء وتنقطع من الحفظ الرّباني يوم القيامة (الجدول  2).  النسبة هي ([62])

(1128+2540)/ 5235 = 0.701

النسب مع البسملة:

(1128+2540+84)/ (5235 +84) = 0.7054

 

جدول 2: عدد الآيات التي تذكر بعض أسماء الله وصفاته أو فيها ضميرٌ عائدٌ إلى اللّه في 85 سورة من القرآن، وهي عدا تلك السور التي موضوعها الرئيسي هو يوم القيامة؛ حيث تنفطر السماء وتتشقق يوم القيامة؛ وتنقطع من الحفظ الرّباني

رقم السورة

إسم السورة

عدد آياتها

عدد آيات

الأسماء والصفات

عدد آيات باقي الصفات أو التي فيها ضمير عائد إلى الله

1

الفاتحة

7

4

3

2

البقرة

286

209

30

3

آل عمران

200

146

10

4

النساء

176

136

14

5

المائدة

120

94

6

6

الأنعام

165

102

41

7

الأعراف

206

85

66

8

الأنفال

75

58

7

9

التوبة

129

103

5

10

يونس

109

65

22

11

هود

123

61

28

12

يوسف

111

44

8

13

الرعد

43

34

4

14

إبراهيم

52

42

4

15

الحجر

99

13

37

16

النحل

128

90

25

17

الإسراء

111

43

46

18

الكهف

110

41

29

19

مريم

98

39

30

20

طه

135

31

46

21

الأنبياء

112

18

59

22

الحجّ

78

56

8

23

المؤمنون

118

36

33

24

النّور

64

50

4

25

الفُرقان

77

24

25

26

الشّعراء

227

49

37

27

النّمل

93

32

15

28

القصص

88

37

29

29

العنكبوت

69

35

21

30

الرّوم

60

26

22

31

لقمان

34

23

4

32

السّجدة

30

11

11

33

الأحزاب

73

53

9

34

سبأ

54

22

22

35

فاطر

45

29

7

36

يس

83

17

34

37

الصّافّات

182

25

45

38

ص~

88

13

31

39

الزُّمر

75

55

6

40

غافر

85

48

10

41

فصّلت

54

27

12

42

الشّورى

53

31

13

43

الزّخرف

89

21

33

45

الجاثية

37

20

10

46

الأحقاف

35

17

7

47

محمّد

38

24

7

48

الفتح

29

25

3

49

الحجرات

18

14

0

51

الذّاريات

60

8

13

55

الرحمن

78

36

13

57

الحديد

29

23

3

58

المجَادلة

22

22

0

59

الحشر

24

19

0

60

الممتحنة

13

12

0

61

الصّفّ

14

11

3

62

الجُمُعة

11

10

1

63

المنافقون

11

10

1

64

التّغابن

18

16

1

65

الطّلاق

12

11

0

66

التّحريم

12

10

1

67

الملك

30

10

9

68

القلم

52

8

9

71

نوح

28

11

10

72

الجنّ

28

17

4

80

عبس

42

0

13

87

الأعلى

19

3

6

88

الغاشية

26

1

6

90

البلد

20

0

6

91

الشّمس

15

2

7

92

الليل

14

1

10

93

الضّحى

11

3

3

94

الشَرح

8

1

4

95

التّين

8

1

6

97

القدر

5

1

1

98

البيّنة

8

3

3

103

العصر

3

0

2

105

الفيل

5

1

3

106

قريش

4

1

2

107

الماعون

7

0

3

108

الكوثر

3

1

1

109

الكافرون

6

0

3

110

النّصر

3

3

0

112

الإخلاص

4

2

2

113

الفلق

5

1

1

114

النّاس

6

3

0

 

المجموع

5235

2540

1128

(1128+2540)/ 5235 = 0.701

 

The Sun as a red giant (الشمس في طور العملاق الأحمر): ([63])

من المتوقع أن تصبح الشمس عملاق أحمر (الشكل 9).  يُقدّر أن الشمس ستصبح كبيرة الحجم بما يكفي لتبتلع المدارات الحالية للكواكب الداخلية للنظام الشمسي وصولا إلى الأرض، وسيتوسع نصف قطرها إلى 200 مرة على الأقل من قيمته الحالية.

ستؤدي مدخلات الطاقة الشمسية في طور العملاق الأحمر إلى تبخير محيطات الأرض وفقدان الهيدروجين من الماء بشكل دائم إلى الفضاء، ولسوف يضيع معظم الغلاف الجوي في الفضاء أيضًا .  ولعلّ هذا بعض ما ترشد إليه الآية الكريمة :  (وَإِذَا السَّمَاءُ كُشِطَتْ) (التكوير 11 ) ، هذا على اعتبار أنّ السماء بمعنى الغلاف الجوي .

 

Description: 300px-Sun_red_giant

الشكل 9 : الشمس في طور العملاق الأحمر: من المتوقع أن تصبح الشمس عملاق أحمر.  يُقدّر أن الشمس ستصبح كبيرة الحجم بما يكفي لتبتلع المدارات الحالية للكواكب الداخلية للنظام الشمسي وصولا إلى الأرض، وسيتوسع نصف قطرها إلى 200 مرة على الأقل من قيمته الحالية.

وهذه المرحلة (طور العملاق الأحمر) تجسدها الأحاديث الشريفة التي تصف يوم القيامة:

(تدنو الشمسُ يومَ القيامةِ على قيدِ ميلٍ ويُزادُ في حرِّها كذا وكذا تَغلي منها الهامُ كما تَغلي القدورُ يعرَقونَ فيها على قدرِ خطاياهم فمنهم مَن يبلغُ إلى كعبَيه ومنهم مَن يبلغُ إلى ساقَيه ومنهم مَن يبلغُ إلى وسطِه ومنهم مَن يُلجِمُه قال: وسمِعتُ أبا الحكمِ يقولُ: يُزادُ في حرِّها سبعةَ عشرَ ضِعفًا) ([64]).

الشمس في هذه المرحلة تصبح ضيائيتها كبيرة جدّاً مقارنة مع ضيائيتها الحالية: (تدنو الشمسُ يومَ القيامةِ على قيدِ ميلٍ ويُزادُ في حرِّها كذا وكذا تَغلي منها الهامُ) .  ويصبح نصف قطرها مساوياً بعدها عن الأرض.  أي أنّ سطحها يلمس الأرض: (تدنو الشمسُ يومَ القيامةِ على قيدِ ميلٍ).

ترتيب الكواكب في النظام الشمسي، بدءًا من الأقرب للشمس فالأبعد هو التالي: عطارد (Mercury) والزهرة (Venus) والأرض (Earth) والمريخ (Mars) والمشتري (Jupiter) وزحل (Saturn) ويورانس (Uranus) ونبتون (Neptune) ثم الكوكب التاسع المحتمل .

من المتوقع أن تصبح الشمس عملاق أحمر. [7] يُقدّر أن الشمس ستصبح كبيرة الحجم بما يكفي لتبتلع المدارات الحالية للكواكب الداخلية للنظام الشمسي، حتى الأرض، [11][12][13] وسيتوسع نصف قطرها إلى 200 مرة على الأقل من قيمته الحالية. [14] ستفقد الشمس جزءًا كبيرًا من كتلتها في عملية التحول إلى عملاق أحمر، وبالتالي تبعث الطاقة بمعدلات هائلة: (فَارْتَقِبْ يَوْمَ تَأْتِي السَّمَاءُ بِدُخَانٍ مُبِينٍ *يَغْشَى النَّاسَ هَذَا عَذَابٌ أَلِيمٌ) [الدّخان 10-11] ([65]).  وهناك احتمال أن يهرب المريخ وجميع الكواكب الخارجية مع اتساع مداراتها. [15] عطارد وعلى الأرجح كوكب الزهرة يكونان قد ابتلعتهما الطبقة الخارجية للشمس في هذه المرحلة من الزمن. مصير الأرض أقل وضوحا. يمكن للأرض من الناحية الفنية أن تحقق توسيعًا لمدارها ويمكن أن تحافظ على سرعة زاوية عالية بما يكفي لمنعها من الانغماس داخل الشمس. للقيام بذلك، يجب زيادة مدارها ليصبح ما بين 1.3 وحدة فلكية (AU)، حوالي 190 مليون كم و 1.7 وحدة فلكية ، حوالي 250 مليون كم . [16] ومع ذلك، تظهر نتائج الدراسات التي تم الإعلان عنها في عام 2008 أنه بسبب تفاعل المد والجزر بين الشمس والأرض، فإن الأرض قد تتراجع فعليًا إلى مدار منخفض، وتُبتلعُ وتندمج داخل الشمس قبل أن تصل الشمس إلى حجمها الأكبر، على الرغم من فقدان الشمس تقريبًا 38% من كتلتها. [17] قبل أن يحدث هذا ، سيكون الغلاف الحيوي للأرض قد دُمّر منذ زمنٍ بعيد بسبب الزيادة المطّردة في سطوع الشمس مع انخفاض مخزون الهيدروجين وتقلص قلب الشمس، وحتى قبل الانتقال إلى طور العملاق الأحمر. بعد ما يزيد قليلاً عن مليار سنة، ستؤدي مدخلات الطاقة الشمسية الإضافية إلى تبخر محيطات الأرض وفقدان الهيدروجين من الماء بشكل دائم إلى الفضاء، مع فقدان كامل للمياه بحدود 3 مليارات سنة. [18] سيصبح الغلاف الجوي للأرض والغلاف الصخري (المكون من القشرة وجزء من الوشاح العلوي) مثل كوكب الزهرة.  على مدى مليار سنة أخرى، سوف يضيع معظم الغلاف الجوي في الفضاء أيضًا؛ [15] في النهاية ستتركُ الأرضُ كوكبًا ميتًا ومصابًا بالجفاف مع سطح من الصخور المنصهرة.

Red Giant phase of the sun: As the Sun becomes 10% brighter than it is today, this increase in luminosity will also mean an increase in heat energy that Earth’s atmosphere will absorb. This will trigger a runaway greenhouse effect that is like what turned Venus into the terrible hothouse it is today.

As the Sun becomes 40% brighter than it is right now, the excess energy that is going to be absorbed by Earth will cause the oceans to boil, the ice caps to permanently melt, and all water vapor in the atmosphere to be lost to space. Under these conditions, life as we know it will be unable to survive anywhere on the surface, and planet Earth will be fully transformed into another hot, dry world, just like Venus.

مرحلة العملاق الأحمر للشمس: عندما تصبح الشمس أكثر إشراقا بنسبة 10% مما هي عليه اليوم، فإن هذه الزيادة في اللمعان ستعني أيضا زيادة في الطاقة الحرارية التي سيمتصها الغلاف الجوي للأرض.  سيؤدي هذا إلى تأثير الاحتباس الحراري الجامح الذي يشبه ما تسبّب في تحوّل كوكب الزهرة إلى الدفيئة الرهيبة التي هي عليها اليوم: (فَارْتَقِبْ يَوْمَ تَأْتِي السَّمَاءُ بِدُخَانٍ مُبِينٍ *يَغْشَى النَّاسَ هَذَا عَذَابٌ أَلِيمٌ) [الدّخان 10-11].

عندما تصبح الشمس أكثر إشراقا بنسبة 40% ممّا هي عليه الآن، فإن الطاقة الزائدة التي ستمتصها الأرض ستؤدي إلى غليان المحيطات، وذوبان القمم الجليدية بشكل دائم ، وفقدان كل بخار الماء في الغلاف الجوي إلى الفضاء.  في ظل هذه الظروف ، لن تتمكن الحياة كما نعرفها من البقاء والاستمرار في أي مكان على سطح الأرض ، وسيتحول كوكب الأرض بالكامل إلى عالم حار وجاف آخر ، تماما مثل كوكب الزهرة.

 



[1] بعض معاني كلمة السماء في آي القرآن الكريم، الرابط: https://eijaz.mutah.edu.jo/samaameanings.htm

أمثلة من الآيات القرآنيّة لبعض معاني كلمة الأرض، الرابط: https://eijaz.mutah.edu.jo/ardhmeanings.htm

[2] الأرضون السّبع وتوزيع الصفائح المجرِّيّة الضخمة على نطاق كوني واسع، الرابط:

https://eijaz.mutah.edu.jo/sevenardhoan.htm

[3] بحث: بعض معاني كلمة السماء في آي القرآن الكريم .  حسين يوسف عمري

https://eijaz.mutah.edu.jo/samaameanings.htm

[4]  https://en.wikipedia.org/wiki/Asteroid_belt#cite_note-Williams-2

Matt Williams (2015-08-23). "What is the Asteroid Belt?". Universe Today. Retrieved 2016-01-30.

[5] https://i.ebayimg.com/images/g/FX0AAOSwQNJlM2N~/s-l960.webp

[6] https://www.jpl.nasa.gov/news/twenty-years-of-tracking-near-earth-objects

[7] المعجم: اللغة العربية المعاصرة

[8] المعجم: كلمات القران - انظر التحليل و التفسير المفصل

[9] المعجم: كلمات القران - انظر التحليل و التفسير المفصل

[10] Jupiter has a radius about eleven times larger than that of Earth, and Jupiter's mass is 318 times that of Earth: Williams, David R. (December 23, 2021). "Jupiter Fact Sheet"NASAArchived from the original on December 29, 2019. Retrieved October 13, 2017.

[11] العمري، حسين وآخرون، مدّ الأرض.  على الرابط:  https://eijaz.mutah.edu.jo/eartharabic.htm

[12] https://ar.wikipedia.org/wiki/%D8%A7%D8%B5%D8%B7%D8%AF%D8%A7%D9%85_(%D8%B9%D9%84%D9%85_%D8%A7%D9%84%D9%81%D9%84%D9%83)

[13] https://en.wikipedia.org/wiki/Impact_event#:~:text=Asteroids%20with%20a%201%20km,once%20every%20twenty%20million%20years

[14] https://spaceaustralia.com/feature/jupiters-complicated-relationship-life-earth

[15] https://en.wikipedia.org/wiki/Kuiper_belt

[16] Fc = -2m (w x v’)

[17] Lagrange point. (originally written (with mathematical equations) by Neil J. Cornish as part of WMAP's education and outreach program.)

[18] https://upload.wikimedia.org/wikipedia/commons/1/1e/Saddle_point.svg

[19]  قُلْ أَعُوذُ بِرَبِّ الْفَلَقِ مِنْ شَرِّ غَاسِقٍ إِذَا وَقَبَ، الرابط: https://eijaz.mutah.edu.jo/Moonthreat.htm

[20] الراوي : عائشة أم المؤمنين ، المحدث : ابن حجر العسقلاني ، المصدر : تخريج مشكاة المصابيح ، الصفحة أو الرقم:  3/24، خلاصة حكم المحدث : [حسن كما قال في المقدمة]

[21] الراوي : عائشة أم المؤمنين ، المحدث : شعيب الأرناؤوط ، المصدر : تخريج المسند، الصفحة أو الرقم : 24323 ، خلاصة حكم المحدث : حسن.  التخريج : أخرجه الترمذي (3366)، والنسائي في ((السنن الكبرى)) (10138)، وأحمد (24323) واللفظ له

[22] الراوي : عائشة أم المؤمنين ، المحدث : الألباني ، المصدر : السلسلة الصحيحة، الصفحة أو الرقم : 372 ، خلاصة حكم المحدث : صحيح.  التخريج : أخرجه الترمذي (3366)، وأحمد (25844)، والنسائي في ((السنن الكبرى)) (10137) ، انظر شرح الحديث رقم 80033

[23] الشتاء النووي هو تأثير تبريد مناخي عالمي شديد وطويل الأمد يفترض حدوثه بعد عواصف نارية واسعة النطاق في أعقاب حرب نووية واسعة النطاق.  المتوقع أن يسود الطقس البارد نتيجة الغمام والهباب الناتج عن الانفجارات النووية والذي يمكن أن ينتشر في الغلاف الجوي.

[24] Nuclear winter is a severe and prolonged global climatic cooling effect that is hypothesized to occur after widespread firestorms following a large-scale nuclear war.

[25] https://worldsimplified.medium.com/what-would-happen-if-the-moon-crashed-into-the-earth-c0597c1065ac#:~:text=The%20moon%20is%20currently%20located,and%20crashing%20into%20the%20Earth.

[26] لَا أُقْسِمُ بِيَوْمِ الْقِيَامَةِ (1) وَلَا أُقْسِمُ بِالنَّفْسِ اللَّوَّامَةِ (2) أَيَحْسَبُ الْإِنسَانُ أَلَّن نَّجْمَعَ عِظَامَهُ (3) بَلَىٰ قَادِرِينَ عَلَىٰ أَن نُّسَوِّيَ بَنَانَهُ(4) بَلْ يُرِيدُ الْإِنسَانُ لِيَفْجُرَ أَمَامَهُ (5) يَسْأَلُ أَيَّانَ يَوْمُ الْقِيَامَةِ (6) فَإِذَا بَرِقَ الْبَصَرُ (7) وَخَسَفَ الْقَمَرُ (8) وَجُمِعَ الشَّمْسُ وَالْقَمَرُ(9) يقُولُ الْإِنسَانُ يَوْمَئِذٍ أَيْنَ الْمَفَرُّ (10) كَلَّا لَا وَزَرَ (11) إِلَىٰ رَبِّكَ يَوْمَئِذٍ الْمُسْتَقَرُّ (12) يُنَبَّأُ الْإِنسَانُ يَوْمَئِذٍ بِمَا قَدَّمَ وَأَخَّرَ (13)  (سورة القيامة)

[27] https://scijinks.gov/pressure/#:~:text=The%20Short%20Answer%3A,it%20from%20drifting%20into%20space

[28] https://byjus.com/question-answer/why-are-the-air-molecules-in-our-atmosphere-not-escaping-into-outer-space/

[29] https://earthsky.org/earth/what-keeps-earths-atmosphere-on-earth/#:~:text=And%20yet%2C%20although%20you%20might,spurred%20on%20by%20energizing%20sunlight.

[30] https://scijinks.gov/pressure/#:~:text=The%20Short%20Answer%3A,it%20from%20drifting%20into%20space

[31] https://byjus.com/question-answer/why-are-the-air-molecules-in-our-atmosphere-not-escaping-into-outer-space/

[32] أَفَلا يَرَوْنَ أَنَّا نَأْتِي الأرْضَ نَنْقُصُهَا مِنْ أَطْرَافِهَا    https://eijaz.mutah.edu.jo/reducingArdh.htm

[33] https://earthsky.org/earth/what-keeps-earths-atmosphere-on-earth/#:~:text=And%20yet%2C%20although%20you%20might,spurred%20on%20by%20energizing%20sunlight.

[34] https://briankoberlein.com/blog/is-earth-gaining-mass/

[35] https://rmets.onlinelibrary.wiley.com/doi/full/10.1002/qj.3582#:~:text=Thus%2C%20in%20a%20higher%2Dgravity,overall%20cooling%20of%20the%20atmosphere.

[36] https://rmets.onlinelibrary.wiley.com/doi/full/10.1002/qj.3582#:~:text=Thus%2C%20in%20a%20higher%2Dgravity,overall%20cooling%20of%20the%20atmosphere.

[37] الراوي: عامر بن واثلة أبو الطفيل، المحدث: الألباني ، المصدر: صحيح الأدب المفرد، الصفحة أو الرقم: 589 ، خلاصة حكم المحدث: صحيح الإسناد

[38] Dark energy permeates all of space and tends to increase the rate of expansion of the universe.  Dark energy is the most accepted theory to explain recent observations and experiments that the universe appears to be expanding at an accelerating rate. In the standard model of cosmology, dark energy currently accounts for 70% of the total mass-energy of the universe.(http://en.wikipedia.org/wiki/Dark_energy).

[39] العمري ، حسين يوسف ، مؤتة للبحوث والدّراسات (سلسلة العلوم الإنسانية والاجتماعية)، بناء السماء والمادة المظلمة دراسة مقارنة بين الفلك والقرآن، المجلد السابع عشر، العدد السادس، 2002 ، ص 187211.

الرابط:   https://eijaz.mutah.edu.jo/samaacdm.htm

[40] المراجع: الأندلسي الغرناطي، محمد بن يوسف، النهر الماد من البحر الى المحيط. م 5، ص 244.

ابن عطية الأندلسي، أبي محمد، المحرر الوجيز في تفسير الكتاب العزيز. ج 5، ص 181.

أبي العباس، شهاب الدين (ت 756هـ) ، الدر المصون في علوم الكتاب المكنون ، دار الكتب العلمية (بيروت-لبنان 1414 هـ-1994 م)، ستة أجزاء .  ج 6، ص 192.

الأندلسي الغرناطي، محمد بن يوسف، البحر المحيط. ج 9، ص 560.

[41] المراجع:

السمرقندي ، أبي الليث نصر بن محمد (ت 375 هـ) ، بحر العلوم ، دار الكتب العلمية (بيروت-لبنان 1413 هـ-1993 م)، ثلاثة أجزاء .  ج 3، ص 280.

الجوزي، أبي الفرج جمال الدين (ت 597 هـ) ، زاد المسير في علم التفسير ، دار الفكر (بيروت-لبنان 1407 هـ-1987 م)، ثمانية أجزاء .  ج 7، ص 212.

الخطيب، عبدالكريم ، التفسير القرآني للقرآن ، دار الفكر (بيروت-لبنان 1970 م)، ثلاثون جزءاً .  م 14، ص 529-530.

[42] الزمخشري، أبو القاسم جار اللّه محمود بن عمر، الكشاف. م 4، ص 20.

 الرّازي، فخر الدين، التفسير الكبير ومفاتيح الغيب.  م 14، ص 227 .

[43] المراجع

 القاسمي، محمد جمال ، محاسن التأويل.  م 9 ، ج 2، ص 202-203.

 الماوردي، تصنيف أبي الحسن البصري (364- 450 هـ)، مراجعة وتعليق السَيد بن عبدالرحيم، النّكت والعيون تفسير الماوردي، دار الكتب العلمية (بيروت-لبنان)، ستّ مجلدات. م 5، ص 373-374.

 الناصري، محمد المكي ، التيسير في أحاديث التفسير، دار الغرب الاسلامي (بيروت-لبنان الطبعة الأولى 1405 هـ-1985 م)، ستة  أجزاء. ج 6، ص 93.

[44]  بعض جوانب الإعجاز الفيزيائي في آية خلق الأزواج: حسين يوسف راشد عمري/ قسم الفيزياء- جامعة مؤتة/ الأردن؛ وآخرون ، على الرابط : https://eijaz.mutah.edu.jo/physpairs.htm

- بعض جوانب الإعجاز الرياضياتي في آية خلق الأزواج.  حسين يوسف راشد عمري/ قسم الفيزياء-  جامعة مؤتة/ الأردن؛ وآخرون ، على الرابط :  https://eijaz.mutah.edu.jo/mathpairs.htm

[45]  عمري، حسين، الأرضون السبع لغز المادّة المظلمة، مجلّة كليّة المعارف الجامعة، الأنبار، (2004)، العدد السادس، ص 10.  على الرابط :       http://eijaz.mutah.edu.jo/sevenardhoan.htm

 عمري، حسين، مؤتمر كليّة الشّريعة السّابع: إعجاز القرآن الكريم. 18-20 رجب 1426 هـ، 23- 25 آب 2005. جامعة الزرقاء الأهليّة/ الأردن.  محاضرة: الأرضون السبع وتوزيع الصفائح المجرّيّة على نطاق الكون الواسع.

[46]  https://en.wikipedia.org/wiki/Dark_matter

[47] Modified Newtonian dynamics (MOND) is a theory that proposes a modification of Newton's second law to account for observed properties of galaxies. Its primary motivation is to explain galaxy rotation curves without invoking dark matter, and is one of the most well-known theories of this class. However, it has not gained widespread acceptance, with the majority of astrophysicists supporting the Lambda-CDM model as providing the better fit to observations.[1][2]

الديناميكا النيوتونية المعدلة (MOND)  هي نظرية تقترح تعديل قانون نيوتن الثاني ليتمكن من حساب الخصائص المرصودة للمجرات.  دافعها الأساسي هو شرح المنحنيات الدورانية لنجوم المجرة دون افتراض وجود المادة المظلمة، وهي واحدة من أكثر النظريات المعروفة في هذه الفئة.  ومع ذلك ، لم تحظى بقبول واسع النطاق ، حيث يدعم غالبية علماء الفيزياء الفلكية نموذج Lambda-CDM model باعتباره يوفّر تطابقاً أفضل مع الرصد.

[48] العمري، حسين يوسف راشد،2002، بناء السماء والمادة المظلمة الباردة دراسة مقارنة بين الفلك والقرآن، مؤتة للبحوث والدّراسات (سلسلة العلوم الإنسانية والإجتماعيّة)، المجلد السابع عشر، العدد السادس، ص 187211 .

 https://eijaz.mutah.edu.jo/samaacdm.htm

[49] الراوي: صهيب بن سنان الرومي القرشي المحدث: الوادعي - المصدر: الصحيح المسند - الصفحة أو الرقم: 509 ، خلاصة حكم المحدث: صحيح

[50] https://www.nationalgeographic.com/science/space/dark-matter/

[51] ) http://home.web.cern.ch/about/physics/dark-matter

[52] Fermilab: https://news.fnal.gov/2017/08/dark-energy-survey-reveals-accurate-measurement-dark-matter-structure-universe/

[53] Fermilab: https://news.fnal.gov/2017/08/dark-energy-survey-reveals-accurate-measurement-dark-matter-structure-universe/

[54] https://www.space.com/desi-cosmological-constant-dark-energy-history

By Robert Lea, published April 16, 2024

[55] https://www.space.com/desi-cosmological-constant-dark-energy-history

[56] http://www.npr.org/templates/archives/archive.php?thingId=141034249

[57] https://www.quantamagazine.org/waning-dark-energy-may-evade-swampland-of-impossible-universes-20240819/#:~:text=The%20largest-ever%203D%20map,theoretical%20physicists%20expected%20as%20much.&text=The%20expansion%20of%20the%20universe,of%20acceleration%20may%20be%20decreasing

[58] https://eijaz.mutah.edu.jo/samadarkmattandenergy.htm

بناء السَّمَاء والطاقة المظلمة والمادة المظلمة  .  حسين يوسف عمري.

[59] http://en.wikipedia.org/wiki/Dark_energy

[60] http://en.wikipedia.org/wiki/Dark_energy

[61] القرآن يحدّد النِّسب للطاقة المظلمة والمادتين المظلمة والعادية.  حسين يوسف عمري

الملخّص :   https://eijaz.mutah.edu.jo/ALLAHsNamesAbst.htm

كامل البحثhttps://eijaz.mutah.edu.jo/ALLAHsNames.htm

 

[62] https://eijaz.mutah.edu.jo/samadarkmattandenergy.htm

بناء السَّمَاء والطاقة المظلمة والمادة المظلمة .  حسين يوسف عمري

[63] http://en.wikipedia.org/wiki/Red_giant#The_Sun_as_a_red_giant

[64] الراوي : أبو أمامة الباهلي، المحدث: البوصيري ، المصدر : إتحاف الخيرة المهرة ، الصفحة أو الرقم: 8/165 ، خلاصة حكم المحدث : رواته ثقات.  التخريج : أخرجه أحمد (22240)، والطبراني (8/222) (7779) باختلاف يسير

[65]  دخان السماء المرتقب .  حسين يوسف عمري  https://eijaz.mutah.edu.jo/samadokhan.htm